VITAINDÍTÓ
Szász Alpár Zoltán - Bakk Miklós
Európai parlamenti választások - első alkalommal
Románia 2007. január 1-jén csatlakozott az Európai Unióhoz. Azelőtt az Európai Parlamentben országunkat a parlamenti pártok által kinevezett megfigyelők képviselték, viszont a teljes jogú tagság elnyerése nyomán lehetőség nyílt arra, hogy a képviseleti funkciót a néptől eredő legitimitással rendelkező, pontosan erre a célra választott politikusok lássák el. Megválasztásuknak meg kellett történnie még a csatlakozás évében, s némi huzavona után a kormány az elmúlt esztendő végén meg is szervezte az első romániai "euro-választásokat". Az elemzésüknek szentelt dolgozatunk ismertető céllal íródott bevezető részében előbb a választások előzményeit, kontextusát és Románia európai parlamenti választási rendszerét mutatjuk be, ideértve ez utóbbi kialakulásának a történetét is. Majd röviden összegezzük a 2007. év fontosabb belpolitikai eseményeit, meg csatározásait, rámutatva, hogy ezek miként befolyásolták - a közvélemény-kutatások eredményeinek tükrében - a főbb pártok népszerűségét.
A tanulmány legterjedelmesebb részében az eredményeket vesszük górcső alá. Ennek az elemző résznek az első fejezetében az országos szintű választási részvételt vizsgáljuk röviden szinkrónikus és diakrónikus összehasonlításban, végül pedig területi bontásban. A második fejezetben a voksok és mandátumok összefüggéseivel foglalkozunk. A résztvevők és eredményeik rövid áttekintését követően a román pártrendszerben megfigyelhető változásokat és trendeket körvonalazzuk a fontosabb rendszerváltozók kiszámításának a segítségével. Elemzésünk zárófejezetében a választáson részt vett pártok, valamint az egyetlen független jelölt eredményeit tanulmányozzuk részletesen. Fejtegetéseinkben összevetjük a pártok EP-választási eredményeit a korábbi országgyűlési választási eredményeikkel, jelenlegi szavazói támogatottságukat pedig elsősorban a választási ökológia és földrajz eszközeivel studírozzuk.
Végezetül írásunk záró, vitaindító jellegű részében a román pártrendszer s ezen belül a romániai magyar politikai érdekképviselet jövőbeli konfigurációival kapcsolatos forgatókönyveket próbálunk körvonalazni.
I. A romániai EP-választások előzményei, kontextusa és a választási rendszer
1. Románia európai parlamenti választási rendszerének a kialakulása
Románia 1995 júniusában nyújtotta be csatlakozási kérelmét az Európai Unióhoz, és az Európai Tanács 1999 decemberében Helsinkiben hozott határozata nyomán 2000 februárjában hivatalosan is megkezdte a csatlakozási tárgyalásokat. 2000. december 13-án a nizzai EU-csúcson a tagállamok megegyeztek a bővítéssel összefüggő intézményi kérdésekben is, ennek alapján Románia számára a 2009-es európai parlamenti választások előtt 35, azt követően pedig 33 parlamenti mandátumot biztosítottak az Európai Parlamentben.1
A Románia számára biztosított parlamenti helyek számának ez a csökkenése annak következménye, hogy a Nizzai Szerződés a 27 tagú Unió számára 732 főben maximálta az Európai Parlament (EP) képviselőinek számát. A szerződés értelmében ugyanakkor a 27 tagállam számára kialakított mandátumelosztás csak azt követően léphet hatályba, ha már mind a tizenkét, 1999 decemberében meghívott ország csatlakozott, ugyanis ha a képviselői mandátumok száma a kevesebb csatlakozó ország miatt nem érné el a 732-t, akkor egy arányos korrekcióval minden tagállam mandátumainak számát meg kell emelni úgy, hogy az összlétszám a lehető legközelebb legyen a 732-höz. Ennek alapján, a Tízek (Csehország, Lengyelország, Ciprus, Észtország, Magyarország, Málta, Szlovákia, Lettország, Litvánia és Szlovénia) csatlakozása nyomán 25 ország között osztották szét a 732 mandátumot, azaz a Nizzai Szerződésben Bulgária számára meghatározott 17 és a Románia számára meghatározott 33 mandátumot is kiosztották. Ennek következményeképpen a két ország 2007. január elsejei csatlakozásával az EP taglétszáma átmenetileg a maximált határ fölé növekedett, ráadásul ők is több mandátumot kapnak: Bulgária 18, Románia pedig 35 képviselői helyet. Így 2009-ben kell majd visszatérni a 732 főhöz.
Miután azonban a Tízek csatlakozási szerződése elismerte, hogy a Nizzai Szerződés tévesen két-két mandátummal kevesebbet biztosított Csehországnak és Magyarországnak, mint a hozzájuk hasonló népességű Belgiumnak, Görögországnak és Portugáliának, és e különbséget a csatlakozási szerződés megszüntette, a 2009-es választásokat követően tulajdonképpen 736 főre kell emelkednie az EP taglétszámának.2
Az Európai Parlament tagjainak általános és közvetlen megválasztásáról az Európai Tanács először 1976-ban hozott határozatot, és 1979 óta az európai parlamenti választásokat ennek megfelelően szervezik is meg. Romániának tehát - mint újonnan csatlakozó országnak - el kellett fogadnia az ezzel kapcsolatos irányelveket és határozatokat, így a közvetlen, arányos rendszerben történő választás elve mellett a 93/109/CE számú irányelvet is, amely biztosította az európai parlamenti választásokon való részvételt és jelölhetőséget minden európai állampolgárnak, akik nem a saját államukban élnek.3
Az Európai Parlament megválasztásának Románia belépésekor érvényes elveit az Európai Tanács az Anasztaszopulosz-jelentés4 révén fogalmazta meg. Ez a jelentés rendkívüli fontosságú, mivel az Európai Tanács 2002-es határozata, amely ma hatályos, lényegében ezen alapul. Eszerint:
-az európai parlamenti képviselőket arányos listás rendszerben kell minden tagállamban megválasztani; emellett az Írországban használatos STV arányos rendszere is megengedett;
-a tagállamok lehetővé tehetik a preferenciális szavazást amennyiben erre vonatkozó eljárást dolgoznak ki; -a választókerületekben megválasztott képviselők is az állam egész népének, és nem (csupán) választókerületüknek a képviselői; -a speciális regionális sajátosságokat úgy kell figyelembe venni, hogy
ne sértsék az arányossági elvet; -bejutási küszöböt lehet érvényesíteni, de az nem lehet több 5%-nál; -az európai parlamenti tagság összeegyeztethetetlen a tagállami parla
menti képviselettel; -minden tagállam köteles megszabni a választási kampányra fordítandó költségek felső határát; -az egységes alapelvek keretében a részletes szabályozást a tagállamok saját nemzeti alapon dolgozzák ki, például az aktív és a passzív választójogot illetően, a szavazás kötelező voltát illetően, a tisztségekkel kapcsolatos összeférhetetlenségre vagy a tartózkodási idő kérdésére vonatkozóan.5
Ezen elvek alapján a román kormány 2006 szeptemberében nyújtotta be a parlamenthez törvényjavaslatát az európai parlamenti választásokról. A kormány javaslatán kívül Vasile Puşcas, a Szociáldemokrata Párt (Partidul Social Democrat, a továbbiakban PSD) képviselője, valamint Márton Árpád, a Romániai Magyar Demokrata Szövetség (a továbbiakban RMDSZ) képviselője iktatott egy-egy indítványt a parlamentben az EP-választási eljárásról. A Puşcas-féle törvényjavaslatban a fejlesztési régiók szerepeltek az EP-választás választókerületeiként, az RMDSZ azonban az egykerületes választási rendszert támogatta, mivel ennek nagyobb fokú arányossága esetleg eggyel több képviselői mandátumot jelenthetett volna, és emellett az RMDSZ a létező fejlesztési régiókat sem kívánta megerősíteni, politikai dimenziót is biztosítva létezésükhöz.6
2006. szeptember 14-én a választási rendszerrel foglalkozó parlamenti különbizottság már el is fogadta az EP-választási törvény meghatározó elemeit, éspedig:
-az ország területe egyetlen választókerület;
-a bejutási küszöb 5%;
-a független jelölteknek az egy képviselői helyhez szükséges szavazatszámot kell elérniük a bejutáshoz (ez 35 képviselői mandátum esetén az érvényes szavazatok 2,86%-át jelenti).
A parlament végül 2007 januárjában fogadta el a 33. számú törvényt.7 A romániai EP-választás rendszere e törvény alapján a következőképpen írható le:
1. Aktív választójoggal rendelkeznek mindazok a román és uniós állampolgárok, akik a választás napján betöltötték 18. életévüket. Választhatóak a 23. életévüket betöltött román és uniós állampolgárok.
2. Románia területe egyetlen választókerületet alkot. Ebből következően a kerületi magnitúdó 35.
-
A választási rendszer arányos, listás rendszer; a választásokon zárt jelöltlisták állíthatóak.
-
Jelöltlistát pártok, pártszövetségek, választási szövetségek, kisebbségi szervezetek állíthatnak; de független jelöltek is indulhatnak. A pártok, pártszövetségek és választási szövetségek, valamint a kisebbségi szervezetek jelöltlistát 200 000 szavazó támogatásával állíthatnak; a független jelöltek indulásának feltétele 100 000 szavazó támogatása.
-
A bejutási küszöb a pártok, pártszövetségek, választási szövetségek, kisebbségi szervezetek számára az összes érvényes szavazat 5%-a.
-
A független jelöltek mandátumot szereznek, ha elérik az "országos választási koefficienst". Ez a koefficiens az összes érvényes szavazat és az összmandátum-szám hányadosának egész része.8
-
A pártok, pártszövetségek, választási szövetségek és kisebbségi szervezetek, amennyiben eredményeik elérték a bejutási küszöböt, a d'Hondt formula alapján jutnak mandátumhoz.
2006. október végén a pártokkal folytatott tárgyalások nyomán Călin Popescu-Tăriceanu miniszterelnök bejelentette, hogy az EP-választásokat 2007. május 13-án tartják meg. Március 11-én azonban a kormány elhatározta a választások elhalasztását, hivatkozva a kialakult belpolitikai helyzetre, vagyis a Traian Băsescu államfő leváltására vonatkozó kezdeményezés nyomán kirobbant konfliktusra. Végül 2007. augusztus 21-én a kormány november 25-re tűzte ki az EP-választások időpontját.9
2. Politikai csatározások és a pártok népszerűségének az alakulása a 2007. év folyamán
Az EP-választási rendszer ismertetése után érdemes röviden visszatekintenünk az elmúlt esztendő azon politikai eseményeire, amelyek valamiképpen befolyásolhatták a november 25-i voksolás eredményét. 2007 a Demokrata Párt (Partidul Democrat, a továbbiakban PD) és a Nemzeti Liberális Párt (Partidul Naţional Liberal, a továbbiakban PNL) közötti ellentétek egyre élesebbé válásának a jegyében telt el. Ebből a szempontból több esemény meghatározóként értékelhető. Az első s egyben talán a legfontosabb az a kormányátalakítás, amelyet a miniszterelnök a PD kizárásával hajtott végre április 3-án.10 Ezt követte az államfő leváltását célzó népszavazás, amely egyenes következménye volt annak, hogy a parlament diktatórikus megnyilvánulásai és a többi intézmény működésébe való ismétlődő beavatkozási kísérletei miatt felfüggesztette hivatalából Traian Băsescut. Ha az államelnök nem is nyert háborút 2007-ben, de egyértelmű, hogy a május 19-i népszavazás alkalmával fontos csatát nyert, mégpedig fölényesen.11 Korántsem ilyen könnyen, de a miniszterelnök is megnyert - vagy inkább nem vesztett el - egy fontos ütközetet, amikor kabinetje október első napjaiban átvészelte a PSD által benyújtott bizalmatlansági indítvány szavazását.
Ilyen körülmények között fogtak neki a pártok a kampánynak, amely hivatalosan október 26-án kezdődött, s a 2007/33. sz. törvény értelmében a parlamenti választásokról szóló 2004/373. sz. törvény vonatkozó előírásai szabályozták. A választásokon tizenhárom párt állított jelöltlistát, és egyetlen független jelölt indult: Tőkés László.12 A pártok még március közepéig benyújtották a jelöltlista állításához szükséges támogatói aláírásokat. Külön érdekessége volt az így kibontakozó "magyar" politikai versenynek, hogy ekkor az RMDSZ 322 ezer, Tőkés László pedig 137 ezer támogatói aláírást nyújtott be.
A viszonylag rövid kampány során a pártok jobbára belpolitikai témákra építették retorikájukat, de nem felejtettek el EU-s szlogeneket sem hangoztatni, vagy a nemzeti témát és az EU-t összekapcsolni. Az utóbbi kategóriába tartozó jelszavak arra hívták fel a figyelmet, hogy az országnak méltóképpen kell beilleszkednie az unióba. Ilyen üzenetekkel próbáltak tehát a politikai szereplők szavazópolgárokat mobilizálni, híveket nyerni, s a választásokat megelőző tíz hónapban igencsak hullámzó népszerűségükön (lásd az 1. ábrát és az 5. táblázatot13) - ha kellett - az utolsó pillanatban javítani.
II. A választások elemzése: részvétel, résztvevők és eredmények
1. A választási részvétel
Az első Romániában megrendezett európai parlamenti választásokon való részvételt inkább csak a szavazói hajlandóság vagy "kedv" vonatkozásában érdemes vizsgálni. Ennek ellenére nem árt megemlíteni, hogy a 2004. évi általános választásokat elemző, Székely István Gergővel együtt írt tanulmányunkban megpróbáltunk az érvénytelen szavazatok százalékaránya alapján a szavazók jártasságára következtetni. Azt figyeltük meg, hogy az "elrontott" szavazócédulák aránya idővel csökkent. Tekintettel arra, hogy az érvénytelenített szavazatok aránya 2004-ben a parlament mindkét háza esetében meghaladta az 5,1%-ot,14 s most ez a hányad csupán 4,59%, ama állításunk, hogy a demokrácia előrehaladásával a szavazás technikáját egyre inkább elsajátítják a választók, visszaigazoltnak tekinthető. Ugyanis az exit pollok azt mutatták, a Romániára jellemző mobilizációs tendencia nem fordult meg: a kevésbé iskolázott vidéki lakosság 10%-kal magasabb arányban ment el szavazni 2007. november 25-én, mint a városi.15 Tehát az érvénytelen szavazatok arányának csökkenése nem a jártasabb szavazók komparatíve magasabb részvételének tulajdonítható, hanem minden bizonnyal a politikai tanulásnak, ismeretszerzésnek (political learning), noha a jelenség maga csak a politikai tanulás legelemibb formáinak jelenlétét bizonyítja.
A szűkebb értelemben vett részvétel, azaz a szavazói hajlandóság, adatainak ismertetése előtt mindenképpen meg kell említeni egy fontos módszertani kérdést, ami a mutató mérésével, pontosabban operacionalizálásával kapcsolatos. A részvételi arányt ugyanis kétféleképpen lehet és szokás kifejezni. Jelentheti egyfelől a választásokon megjelent szavazók számának, illetve a szavazati joggal rendelkező állampolgárok (eligible voters vagy voting-age population) számának, vagy másfelől a választásokon megjelent szavazók számának, illetve a választási névjegyzékben szereplő személyek számának (registered voters) a hányadosát. Az első értelmezés az Amerikai Egyesült Államokban használatos, ahol a regisztráció önkéntes - vagyis a szavazópolgároknak önként kell jelentkezniük a hatóságoknál azért, hogy bejegyezzék őket a választói nyilvántartásba. Az európai országokban a regisztráció automatikus, tehát a hatóságok kötelessége a lakossági nyilvántartás alapján összeállítani a választási névjegyzéket. Így, Franciaország kivételével, Európában a második értelmezést használják számítási alapként.16 A második, s egyben a legtöbb országban használt módszer esetében, annál pontosabb a részvétel mérése, mennél hatékonyabban frissítik a hatóságok a névjegyzéket. Emiatt a legtöbb országban a részvétel mérésénél kisebb-nagyobb, de tapasztalati formulák segítségével kiküszöbölhető torzítások figyelhetők meg.17 Az egyszerűség kedvéért itt nem alkalmaztunk korrekciókat, viszont azt meg kell jegyeznünk, hogy az országos részvételi arány számításánál, a szabatosság érdekében, tekintetbe vettük a Románia külképviseletein leadott voksokat, azonban már nem számoltunk ezekkel Bukarest megyei jogú város részvételi adatainak összesítésekor.18
Így országos szinten a részvételi arány 29,43%.19 Ez az eredmény igencsak jó a közép-kelet-európai tagországok viszonylatában, hiszen Románia a 40%-kal fölényesen vezető Magyarország mögött a második, hajszállal előzve meg a 29%-ot elérő Cseh Köztársaságot és a 28,6%-ot elérő Bulgáriát. Ám az is elmondható, hogy a román állampolgárok érdeklődése az EPválasztások iránt jóval alacsonyabb a régi tagországokban mért átlagnál (ami újabban 47,1%, de az 1989-et megelőző évtizedben 65% volt). Sőt ha azt is tekintetbe vesszük, hogy a parlamenti választások alkalmával megfigyelt részvételi arány ezekben az országokban 80% körüli, s Romániában 2000-ben a szavazásra jogosultaknak 65,31%-a, 2004-ben pedig 58,51%-a jelent meg az urnák előtt az általános választások alkalmával, akkor a viszonylagosan gyenge érdeklődés mentségéül talán csak az hozható fel, hogy ez volt az első európai parlamenti választás hazánkban.20
Területi bontásban - lásd az 1. sz. kartogramot - az figyelhető meg, hogy az a két megye (Hargita és Kovászna) a listavezető rendre 43,91 és 37,9%-kal, amely a 2000. évi parlamenti választásokkal bezárólag általában a legmagasabb részvételi arányok egyikével büszkélkedhetett. Viszont korántsem mellékes, hogy épp ezek a megyék szolgáltak most az RMDSZ és a Tőkés László képviselte ellenzéke közvetlen választási csatájának színteréül. A megyék sorában a képzeletbeli dobogóra még a rendszerint fokozott részvétellel jellemezhető Teleorman (36,62%) kerül. Továbbá a számottevő magyar lakosságú megyék közül az első tízben található még Szilágy (36,53%), Bihar (34,45%) és Maros megye (33,99%), azonban Kolozs megye az enyhén átlagon aluli 29,25%-ával a rangsor második felében található. Tekintettel arra, hogy az empirikus politikatudományi vizsgálattól végső sorban nem idegenek a normatív demokráciaelméleti megállapítások, az elemzőket némi aggodalommal tölti el az a tény, hogy a leggyengébb részvételi arányt Temes megyében (24,01%) és Bukarest municípiumban (22,74%) figyeltük meg,21 s e két nagymértékben városiasodott, magas fokú tőkekoncentrációval rendelkező választókerület immár sorozatban másodízben található az öt legalacsonyabb részvételi arányú területi-közigazgatási egység között. Mindez ugyanis talán arra utal, hogy pont az iskolázottabb, a politikában és a közéletben haszonnal konvertálható erőforrásokkal - idővel, pénzzel, kapcsolatokkal - nagyobb mértékben rendelkező rétegek fordulnak el a politikától.22 A megelőző választások részvételi adataival Temes megye és a főváros alacsony részvételi arányán kívül hasonlatosságot még a moldvai megyék átlagon felüli mobilizációja, továbbá az Argeş, Ialomiţa, valamint Tulcea megyében mért csekély szavazói kedv mutat. Meglepő ellenben, hogy a 2004-ben legmagasabb részvételi arányt mutató Ilfov s az első tíz között található Prahova megye ezúttal az utolsó tízbe kerültek.
Végül ami ökológiai elemzés vagy pontosabban ökológiai korrelációk segítségével kimutatható, az a megyék urbanizációs szintjének és a részvételi aránynak az - ismétlődőnek nevezhető - enyhe negatív összefüggése (r = -0,333; p = 0,031).23 Ezenkívül ökológiai módszerrel még a részvételi aránynak és a magyar lakosság részarányának a kapcsolatát is érdemes megvizsgálni, hiszen a számottevő magyar lakosságú megyékben fokozottabb mobilizációt figyelhettünk meg. Erre azonban a magyar jelöltek szereplését taglaló részben kerítünk módot.
2. A választások összesített eredménye: voksok és mandátumok
2.1. A résztvevők és eredményeik rövid áttekintése
Az első európai parlamenti választások a román politikai palettának csupán néhány részletét érintő, s talán csak átmeneti, leegyszerűsödését eredményezték.24 Ez elsősorban a versengő erők számának a nagyobb mértékű csökkenésében jelentkezett, ugyanis 2004-hez képest tizeneggyel, 2000-hez képest pedig huszoneggyel kevesebb párt25 állított jelölteket. Az, hogy folytatódni vagy akár felerősödni látszik a pártrendszernek ez a letisztulási, kikristályosodási tendenciája, valószínűleg három tényezőre vezethető vissza. Az első s a legfontosabb az, hogy az államfő diktatórikus megnyilvánulásai és a többi intézmény működésébe való ismétlődő beavatkozási kísérletei ellenére is jobbára töretlen a román politikai rendszer demokratizálódása, illetve ezzel egyetemben a pártrendszer intézményesedési folyamata. A második tényező a kis pártok számára kedvezőtlen d'Hondt-féle osztórendszeres választási formula alkalmazása az összes mandátum szétosztásának a céljából,26 valamint a harmadik talán az Európai Unió politikai palettájához, a nagy európai politikai családok együtteséhez való igazodás kényszere.
A parlamentben képviselt pártok közül az elemeire bomlott, sőt tovább frakcionalizálódott D. A. Szövetség - vagyis a Demokrata Párt,a Nemzeti Liberális Párt és a Demokrata Liberális Párt (Partidul Liberal Democrat, a továbbiakban PLD)27 -, a Szociáldemokrata Párt,a Nagy-Románia Párt (Partidul România Mare, a továbbiakban PRM), a Konzervatív Párt (Partidul Conservator, a továbbiakban PC),28 a Romániai Magyar Demokrata Szövetség és a Pro Europa Roma Párt (Partida Romilor Pro Europa, a továbbiakban PR)29 indult a választásokon. Az országgyűlési képviselettel nem rendelkező, de választásokon már részt vett pártok közül a Kereszténydemokrata Nemzeti Parasztpárt (Partidul Naţional Ţărănesc
Tekintettel arra, hogy a választás célja országunk európai parlamenti képviseletének a kijelölése volt, a 4. táblázat az összes résztvevőnek az eredményét feltünteti, s utal az Európai Unió nemzetközi pártszövetségeivel, az "europártokkal" fenntartott kapcsolataikra. Amint látható, a választásokat meglepően kis előnnyel a PD nyerte a PSD és a PNL előtt, de arra is inkább csak a derűlátók számítottak, hogy a romániai magyarság képviseletében mind az RMDSZ, mind a független jelölt bejut az EP-be. Mielőtt ezeknek az eredményeknek a részletes, többek között területi bontásban történő elemzésére rátérnénk, a román pártrendszerben bekövetkezett, illetve valószínűsíthető globális változásokat tanulmányozzuk.
2.2. Változások és trendek a román pártrendszerben
A párt és a választási egészének vizsgálata néhány mennyiségi mutató kiszámítását, változásának értelmezését feltételezi. Viszont az európai parlamenti választások és az eddigi romániai parlamenti választások között, a párt- és a választási rendszer alakulásának vonatkozásában, két okból nem lehet teljes körű s ugyanakkor teljes értékű párhuzamot vonni. Egyfelől Romániában a választási formula és egyes - a két rendszer alakulására kiható
- szabályok lényeges mértékben eltérnek az országgyűlési választások esetében érvényesektől. Másfelől az "euro-választások" minden országban másodrendű, ún. barométer-választásoknak minősülnek, ami azt jelenti, hogy a választópolgárok az effajta szavazások alkalmával másféleképpen viselkednek, mint a nemzeti parlamentek megválasztásakor, és sok esetben inkább a pártoknak a közvélemény-kutatások mérte népszerűségi indexében összegződő válaszokhoz hasonlítható jelzés értékű voksokat adnak le.30 Éppen ezért célszerű az alábbi elemzést úgy tekinteni, hogy a kétféle választási rendszert egymással, az ország pártrendszerét pedig egy, a jelen választások körvonalazta, román pszeudo-pártrendszerrel vetjük össze.
A pszeudo-pártrendszer frakcionalizáltsága
A pártrendszer frakcionalizáltságának standard mutatója a pártok effektív száma, amit külön ki lehet számítani a választási és a parlamenti pártrendszerre, avagy a jelen esetben pszeudo-pártrendszerre.31 Az európai parlamenti választásokon megjelent választási pártok alkotta (pszeudo-)pártrendszer effektív pártszáma 5,86; az EP-be bejutott pártokból állóé pedig 3,84.32 Ha ezeket az adatokat összehasonlítjuk a román pártrendszerre számolt korábbi adatokkal, azt találjuk, hogy a fragmentáltság jelenlegi értékei megközelítik azokat, amelyeket az 1996-2000 közötti parlamenti ciklusban figyelhettünk meg.33 A csökkenő trend legalábbis látszólagos megfordulásának, vagyis az utóbbi két parlamenti ciklus mutatóihoz viszonyított növekedésnek, az okai elsősorban a (releváns) szereplők gyarapodásában keresendők hiszen 2004 két választási szövetsége - a D. A. Szövetség, valamint a PSD és a korábbi PUR alkotta pólus - helyett öt párt, sőt az RMDSZ helyett is két erő vett részt a választásokon, s az így megjelent új szereplők a PUR utódának kivételével mind sikeresek voltak.
Románia EP-választási rendszerének mennyiségi aránytalansága
Noha a 2004. évi parlamenti választásokat vizsgáló tanulmányunkban az aránytalanság méréséről már írtunk röviden, szükséges erre a kérdésre visszatérni. Hiszen az "euro-választások" megszervezése érdekében Románia az országgyűlési választások esetében használttól eltérő arányos választási formulát vezetett be, s emiatt más eljárást és számításokat (is) kell alkalmaznunk.
A választási rendszerek ún. aránytalanságának a becslésére a politikatudósok többféle mutatót dolgoztak ki, s ezek két csoportra oszthatók Az első
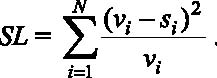
ahol, pi az i-edik párt által megszerzett szavazatok (vagy parlamenti mandátumok) százalékaránya és N a rendszert alkotó pártok aritmetikai értelemben vett száma. Vagyis a pártok tizedes törttel kifejezett szavazat-, illetve mandátumarányainak a négyzeteit összeadjuk, majd meghatározzuk az összeg fordított értékét. (Vö. Rein Taagepera - Matthew Soberg Shugart: Seats and Votes. The Effects and Determinants of Electoral Systems. Yale University Press, New Haven-CT, 1989. 79. Lásd még Arend Lijphart: Electoral Systems and Party Systems. A Study of Twenty-Seven Democracies 1945-1990. Oxford University Press, Oxford, 1994. /Comparative European Politics./ 68.) csoportba tartozó mérőszámok a legnagyobb maradék elvét alkalmazó matematikai formulákból indulnak ki, s emiatt az aránytalanságot a szavazat-és mandátumarányok közötti különbségek segítségével határozzák meg. Következésképpen az effajta mutatók képletei - mint például a Loosemore-Hanby- s a Gallagher-féle négyzetes aránytalansági indexé - azt a felfogást tükrözik, hogy az aránytalanság csökkentése a szóban forgó különbségek (abszolút értékei összegének a) minimizálását feltételezi. A második kategória mutatói, amelyek rendre a d'Hondt-meg a Sainte-Lagüe-formulához tartoznak, értelemszerűen a legnagyobb hányadosok (vagy "átlagok" - highest averages) elvére építenek, s emiatt az aránytalanságot a pártok megszerezte mandátumok és voksok hányadosának függvényében definiálják. Esetükben tehát az aránytalanság csökkentése törtek, illetve törtek segítségével számított eltérések (error term) vagy eltérések összegeinek a minimalizálását jelenti. 34
A d'Hondt-féle mandátumelosztási módszer célja a legnagyobb mértékben felülreprezentált párt felülreprezentáltságának a mértékét minimalizálni. Ebből az elképzelésből az aránytalanság becslésének három rokon eljárása vezethető le. A legegyszerűbb kiszámítani a d'Hondt-indexet, vagyis meghatározni a pártok mandátum-és szavazatarányai hányadosainak, az előnyhányadosnak, a maximumát. Ennek az eljárásnak az a hátránya, hogy túlságosan érzékeny a kis pártok támogatottságában bekövetkező változásokra, ami ellenben kiküszöbölhető, ha csak a szavazatok legalább 5%-át megszerző pártokat vesszük tekintetbe. A harmadik eljárás, amit Taagepera és munkatársai - az alkalmazott mandátumelosztási formulától függetlenül - ajánlanak a választási rendszerek arányossága szemléltetésének a céljából, az előnyhányadost a pártok szavazatarányainak a függvényében ábrázolni. Az így kapott leképezést nevezzük arányossági profilnak.35 E lehetőségekkel ellentétben a Loosemore-Hanby-és Gallagher-féle mutatókkal majdnem tökéletesen korrelált Sainte-Lagüe-index (r = 0,97) azt a normatív követelményt fordítja le a matematika nyelvére, hogy - amennyiben lehetséges - egyenlő képviseletet kell biztosítani az összes választópolgárnak. Tekintettel arra, hogy kizárja a különbségeken alapuló indexek esetében előforduló paradox hatásokat, Michael Gallagher az általa bevezetett indexnél is előnyösebbnek tartja, és általános alkalmazása mellett foglal állást.36
Ezeket az észrevételeket figyelembe véve hazánk európai parlamenti választási rendszerének aránytalanságát a 2007. évi választások tükrében mindkét általános módszerrel meghatároztuk. Először is az összehasonlíthatóság érdekében kiszámítottuk a különbségeken alapuló Loosemore- Hanby- és Gallagher-féle mutatók, majd a két utóbbi, arányokon alapuló index értékeit is. Az egymással, valamint a korábbi eredményekkel egybevethető mutatók értékeit az 1. táblázat foglalja össze:
1. táblázat. Románia európai parlamenti választási rendszerének aránytalansága
|
Loosemore- Hanby-indexa) |
Gallagher-féle négyzetes indexa) |
d'Hondt-indexb) |
Sainte-Lagüeindex |
|
A választási rendszer aránytalansága |
18,45% |
9,30% |
1,29 (128,89%) |
22,76% |
a) Az összehasonlíthatóság céljából a mutatók értékeit, az előnyhányados kivételével, százalékokban fejeztük ki.
b) A jelen esetben a d'Hondt-index és a módosított d'Hondt-index (d'Hondt /5%/) értéke megegyezik.
Az első két mutató értékei valamivel nagyobbak, mint az 1996-2000-es parlamenti ciklusra számítottak, viszont elmaradnak a 2000-2004-es parlamenti ciklus értékeitől, amelyek egyúttal a rendszerváltás utáni időszak maximumait jelentik. Ez az eredmény a legkönnyebben a választási formula, az átlagos kerületi magnitúdó, a bejutási küszöb, valamint az elvesztegetett szavazatok (waisted votes) aránya változásának ismeretében értelmezhető, amelyet a 2. táblázat szemléltet. Ennek alapján azon kívül, hogy - a nacionalista-populista pólus pártjainak sikertelensége következtében - jelentős mértékben megnövekedett az elvesztegetett szavazatok aránya, megállapítható: a kis pártokat méltánytalanul kezelő d'Hondt-féle osztórendszer alkalmazása kioltotta a kerületi magnitúdó elméletben jótékony, az arányosságot növelő hatását.
2. táblázat. A főbb választási rendszer-változók és az elvesztegetett szavazatok arányának az alakulása (1990-2007)
|
Alkalmazott arányos formulaa) |
Átlagos kerületi magnitúdób) |
Bejutási küszöb (%) |
Elvesztegetett szavazatok (%) |
|
1990 |
Legnagyobb maradék (Hare) |
9,21 |
0,21c) |
4,57 |
|
1992 |
Legnagyobb maradék (Hare) |
7,81 |
3 |
18,53 |
|
1996 |
Legnagyobb maradék (Hare) |
7,81 |
3 |
18,21 |
|
2000 |
Legnagyobb maradék (Hare) |
7,79 |
5 (8d)) |
20,79 |
|
2004 |
Legnagyobb maradék (Hare) |
7,48 |
5 (8d)) |
10,81 |
|
2007 |
d'Hondt (-osztórendszer) |
35,00 |
5 (2,86e)) |
17,86 |
a) A meghatározó szint formulája. (A Hare- vagy Hagenbach-Bischoff-kvóta a választókerületben leadott érvényes szavazatok és az illető körzetben kiosztott mandátumok számának a hányadosa. (Lásd André Blais - Louis Massicotte: Electoral Systems. In Lawrence LeDuc - Richard Niemi
- Pippa Norris (eds.): Comparing Democracies. Elections and Voting in a Global Perspective. Sage
Publications, London, 1996. 60.)
b) A képviselőtestület és a választókerületek számának a hányadosa. (Lásd Arend Lijphart : i. m. 11.)
c) Implicit, azaz nem törvényben megszabott, hanem a választási formula s a kerületi magnitúdó
együttes hatásából adódó küszöb. (Lásd Arend Lijphart : i. m. 12.) d) A választási szövetségek esetében. e) A független jelöltek esetében.
Források: Proces verbal privind centralizarea voturilor şi atribuirea mandatelor la alegerile pentru Parlamentul European, 25 noiembrie 2007. Biroul Electoral Central, Bucureşti, 2007. [http://www. bec2007pe.ro/documente/REZULTATE FINALE.pdf], letöltve 2007. november 30-án. és Bakk Miklós - Szász Alpár Zoltán - Székely István Gergő: i. m. 26-27.
Végezetül az előnyhányadosok kiszámítása és az arányossági profil megrajzolása a 2. ábra pontjaival ábrázolt értékpárokat eredményezte.37 A pártokra vonatkozó 5%-os bejutási küszöböt híven tükröző diagramról az olvasható le, hogy a leginkább felülreprezentált pártok a PD és a PNL, illetve, hogy egyetlen olyan szereplő létezik, aki a mandátumszerzés ellenére alulreprezentált: Tőkés László.
A választói illékonyság
A választói illékonyság becslése a román pártrendszer szereplőinek kilétében bekövetkezett változások, illetve a Traian Băsescu elnök habitusának és cselekedeteinek a romániai szavazópolgárok választói viselkedésére gyakorolt hatása következtében elengedhetetlenül szükséges. Viszont ahhoz, hogy minél valósabb legyen a választói preferenciák globális módosulásáról kialakuló kép a Pedersen-féle képlet38 mechanikus alkalmazásával számított indexen, két korrekciót is kellett végezni. Vagyis az illékonyság túlbecsülését elkerülendő ki kellett számítani a pártok alkotta tömbökre vonatkozó illékonyságot (bloc volatility)39 is, mégpedig két formában. Az első lépésben a D. A. Szövetségnek a PD-PLD-PNL hármast kellett megfeleltetni, az egykori PSD+PUR tömbnek pedig a külön listákon versenybe szállt PSD és PC együttesét. A második lépésben pedig ezen kívül az RMDSZ által 2004-ben kapott voksokat kellett az RMDSZ és Tőkés László által most gyűjtött szavazatoknak megfeleltetni. A számítások eredményeit a 3. táblázat mutatja be:
3. táblázat. A választói illékonyság alakulása
|
Korrekció nélkül |
Tömbökre vonatkoztatva (1)a) |
Tömbökre vonatkoztatva (2)b) |
|
Választói illékonyság (%) |
33,95 |
28,5 |
27,85 |
(Ezeknél a számításoknál felhasználtam Székely István Gergőnek a korábbi tanulmányunkat megalapozó adatfeldolgozását.)
a) Az RMDSZ-t és Tőkés Lászlót külön "tömbnek" tekintve.
b) Az RMDSZ-t és Tőkés Lászlót egyazon tömb két elemének tekintve.
A korrekció nyomán kapott értékek, akárcsak az előző két mutató esetében számítottak, az 1996 és 2004 közötti időszakot idézik. Az, hogy mind a pártok effektív száma, mind a választói illékonyság nagyobb a 2004. évre
ahol, pi,t az i-edik párt által a t időpillanatban (a mostani választások alkalmával) megszerzett szavazatok százalékarányát, pi,t-1 pedig az i-edik párt által a t-1 időpillanatban (az előző választások alkalmával) megszerzett szavazatok százalékarányát jelöli. Vagyis összeadjuk az egyes pártok által két egymást követő választáson elért - százalékban kifejezett - szavazatarányai különbségeinek az abszolút értékét, majd az eredményt elosztjuk kettővel. (Lásd Mogens Pedersen: Electoral Volatility in Western Europe. In Peter Mair (ed.): The West European Party System. Oxford University Press, Oxford, 1990. /Oxford Readings in Government and Politics./ 198-199.) számítottnál, arra utal, hogy a választási szereplők aritmetikai értelemben vett számának a csökkenése éppenséggel félrevezető is lehet, hisz pusztán ebből kiindulva nem lehet helyesen feltérképezni a román pártrendszerben végbemenő folyamatokat. Természetesen a pártrendszer aggregált mutatóinak a meghatározásával inkább csak körvonalazhattuk azt a pontosabb képet, amelyet az alábbiakban végzett részletes elemzés segítségével kapunk, s amely inkább a kezdeti, a román pártrendszer - legalábbis átmeneti - egyszerűsödését feltételező forgatókönyvünket alátámasztó empirikus bizonyítékokat szolgáltat.
3. A választási eredmények részletes elemzése
Ebben a fejezetben az egyes pártok, valamint Tőkés László független jelölt eredményeit vesszük alaposabban szemügyre, természetesen külön alfejezetben nagyobb teret szentelve a magyarság képviseletében indult szereplők eredményeinek, azok elemzésének. A pártok és a független jelölt szereplését, akárcsak korábban idézett tanulmányunkban, eredményeik csökkenő sorrendjében vizsgáljuk, több figyelmet fordítva az EP-mandátumok nyerteseire, és kevesebbet azokra, akiknek nem sikerült bejutniuk a Brüsszelben székelő testületbe. A joggal marginálisnak tekinthető szereplők (a Kereszténydemokrata Nemzeti Parasztpárt40, a Pro Europa Roma Párt,a Szocialista Szövetség, meg a Zöld Párt) eredményeinek vizsgálatától eltekintünk.
3.1. A román szavazók voksaira számító pártok eredményei
A D. A. Szövetség "utódai"
Amint már jeleztük, a választások óta eltelt időszakban felbomlott a jobboldali D. A. Szövetség, az a politikai erő, amely 2004 decemberében kormányra került Romániában. Következésképpen a Demokrata Párt (PD), a Nemzeti Liberális Párt (PNL) és az utóbbiból leszakadt Demokrata Liberális Párt (PLD) önállóan indult a választásokon. Az alábbiakban a három párt eredményét külön-külön, majd az összehasonlíthatóság érdekében öszszesítve mutatjuk be.
a) A Demokrata Párt
Az előrejelzések tükrében meglepően szorosra sikeredett választások nyertese a PD, amely mintegy 2,5%, illetve alig több mint 5%-kal ért el gyengébb eredményt, mint három évvel ezelőtt a D. A. Szövetség, illetve az elnökválasztás első fordulójában patrónusa, Traian Băsescu, aki azóta a Cotrocenipalotába költözött.41 A párt szereplésének részletes elemzését megelőzően talán arra kellene magyarázatot adni, hogy miért maradt el az előre jelzett elsöprő győzelem, ugyanis a közvélemény-kutatások többnyire egybehangzóan a "demokratáknak" a szocialdemokratákkal szembeni mintegy kétszeres és a liberálisokkal szembeni még ennél is nagyobb fölényét mutatták, amihez képest a PD igencsak vékonyka győzelmet aratott.42 A történelmi liberális pártot ért sorozatos kritikák, az államfő ügyes manőverezése - amellyel egyfelől széles körű lakossági támogatás és egyben biztos szavazói bázis megszerzését, másfelől pedig hivatásos politikusi személyi állomány, valamint szervezeti infrastruktúra kiépítését célozta egy domináns elnöki párt létrehozása érdekében - s ami egyúttal fölényes győzelmet eredményezett a május 19-i népszavazáson, megerősítette hitükben a "demokraták" szimpatizánsait. Azonban a többi párt, elsősorban a PSD és a PNL támogatóit elbizonytalanította. Mi több, a választásokat megelőzően talán a leghangosabb és a legeseménydúsabb kampány is a Demokrata Párté volt. Ilyen körülmények között könnyen elképzelhető, hogy olyan helyzet alakult ki az első európai parlamenti választások előestéjén Romániában, amikor a közvélemény-kutatók kérdésére válaszolva az állampolgárok szívesen nyilatkoztak szavazói szándékukról, amennyiben úgy érzékelték, hogy a közvélemény domináns áramlatához tartoznak. Ha ellenben kisebbségben érezték magukat - noha elhatározásukon sem akartak módosítani azáltal, hogy csatlakoznak a többség véleményéhez -, inkább nem nyilatkoztak. A (mért) közvélemény aggregált szintjén ez a hallgatási tendencia önmagát erősítette: a többséginek észlelt álláspont állandó fölénybe került, a kisebbségiek meg jelentős mértékben visszaszorultak. Így a felmérések képtelenek voltak a voksok titkosságát garantáló szavazófülkében később kinyilvánított valós politikai preferenciák jelentősebb torzulásoktól mentes előzetes becslésére.43
Bár az összesített eredmény s az 5. táblázatban, valamint az 1. ábrában bemutatott választási előrejelzések tükrében valójában túlzás lenne a párt (tetemes) fölényéről beszélni, a demokraták mégis nem kevesebb, mint 24 megyében nyerték meg a választásokat - igaz: valamennyiben relatív, s nem abszolút többséggel. Területi szavazóbázisuk nagyjából azonos az anyaszövetség korábbi szavazóbázisával, ugyanis Bukarestben, továbbá Fehér, Temes, Szeben, Arad, Kolozs és Brassó megyében ezúttal is jól teljesítettek (lásd a 2. sz. kartogramot). Számszerű eredményeik tekintetében egyetlen megyében értek el kimagasló eredményt (Krassó-Szörény: 47,35%), de további nyolc megyében 35 és 40% között, illetve tizenháromban 30 és 35% között teljesítettek. Az előbbi felsorolás majdhogynem önmagában visszaigazolja korábbi - voltaképpen a D. A. Szövetségre tett - megállapításunkat, hogy "értelemszerűen... a fejlettebb, polgárosodottabb megyékben rendelkezik nagyobb támogatottsággal",44 de a felbomlott jobboldali pólus eme pártja esetében az állítás statisztikai számításokkal is alátámasztható, noha erős összefüggésről nem beszélhetünk.45 Akárcsak három évvel korábban a "kettős szövetség", 2007 novemberében a PD sem számíthatott sikeres szereplésre azokban a közigazgatási egységekben, ahol a magyarság képviseletében harcba szálló erők igen magas szavazatarányt értek el (Hargita, Kovászna, Maros és Szatmár megye), tudniillik a PD itt és a szociáldemokraták uralta Botoşani-ban érte el a leggyengébb eredményeit. Az, hogy Erdély bizonyos megyéiben igen jól, másokban pedig elég gyengén szerepelt, arra utal, hogy szavazóbázisa területileg igencsak egyenletesen oszlik meg, s ebből a szempontból a PD egyedülálló az európai parlamenti választásokon részt vett számottevő politikai erők sorában.46
A D. A. Szövetség korábbi eredményeit a PD jelen eredményeivel számszerűen összehasonlítani próbáló fentebbi négy megállapításon kívül aligha van értelme további effajta egybevetésekkel próbálkozni. Azt viszont mindenképpen meg kell jegyezni, hogy a párt Traian Băsescu (táv)vezérletével hat év alatt megnégyszerezte szavazói táborát,47 s a PLD-vel való, 2007. december 15-én bekövetkezett egybeolvadás előtt számszerűen körülbelül ugyanannyi voksra számíthatott, mint négy évvel ezelőtt a PNL-vel együtt alkotott jobboldali tömörülés.48
b) A Nemzeti Liberális Párt
A párt által az európai parlamenti választásokon elért eredményt - a rendszerint választásról választásra átalakuló pártszövetségek változó összetétele, valamint a hazánkban meglehetősen gyakori pártszakadások és -egyesülések következtében - a legésszerűbb a 2000. évi eredményekhez hasonlítani. A művelet elvégzéséhez három tényt kell figyelembe vennünk. Elsősorban azt, hogy az utolsó előtti parlamenti választások alkalmával a PNL az ország legerősebb liberális tömörüléseként százalékarányosan alig szerzett valamivel több szavazatot a most összegyűjtött voksok felénél (6,89%). Másodsorban azt, hogy időközben több politikai erővel egyesült. Tudniillik 2002 januárjában a szociáldemokratából szociál-liberálissá alakult, a Szövetség Romániért (Alianţa pentru România, a továbbiakban ApR) nevet viselő párt beolvadt a PNL-be, majd 2003 első felében ugyanezt tette a Jobboldali Erők Szövetsége (Uniunea Forţelor de Dreapta, a továbbiakban UFD), s végül 2003 szeptemberében az "anyapárt" Radu Câmpeanu-féle szárnya (Partidul Naţional Liberal Câmpeanu, a továbbiakban PNLC).49 (Az ApR a 2000. évi parlamenti választásokon 4,07%-ot, a PNLC pedig 1,4%-ot ért el.50) Harmadsorban pedig a közvélemény-kutatások tanúsága szerint is az elmúlt másfél évben a D. A. Szövetség pártjai közül a "demokraták" népszerűsége nagyjából kétszerese volt a liberálisokénak (lásd az 5. táblázat és az 1. ábra adatait). Mindezek alapján talán arra következtethetünk, hogy a szervezet támogatottsága arányaiban aligha változott 2004 óta.
A PNL szavazatainak területi megoszlását illetően mindenekelőtt azt le-het megállapítani, hogy a párt 2007 novemberében egyetlen megyében sem szerzett még csak relatív többséget sem. Eredményei megyei bontásban is azt mutatják, amit országos szinten megfigyelhetünk: a jelenlegi vezető kormánypárt az ország harmadik legerősebb pártja, amely a szavazatok egyötödénél többet csupán öt megyében kapott. Noha területi értelemben a korábbi D. A. Szövetség két pártjának szavazóbázisa nem nevezhető komplementernek, nincs olyan megye, amelyben mind a PD, mind a PNL jó eredményt ért volna el. Ellenkezőleg: a "demokraták" jól, a liberálisok pedig rosszul teljesítettek Arad megyében, s fordítva: a PD szerényebben szerepelt Vaslui, Teleorman és Botoşani megyében, ahol a PNL igen jól, hiszen az utóbbi kettőben megszerezte a szavazatok több mint 20%-át - akárcsak Giurgiu, Mehedinţi s Călăraşi megyében, ahol hét évvel korábbi eredményéhez képest közel 20%-ot javított. Mindössze három megyében - Temes, Hargita és Kovászna - szerepelt rosszabbul, mint 2000-ben,51 továbbá, érthető módon,
Meglepő ellenben, hogy a szabadelvűek inkább a kevésbé modernizált megyékben értek el jobb eredményeket - a párt által az egyes megyékben elnyert szavazatok százalékos aránya és a megyék városi lakossága számarányának korrelációja r = -0,216 (p = 0,169). Továbbá a párt szavazóbázisa inkább regáti, mint erdélyi: a két országrészre számított megyei átlagok rendre 15,47 és 10,88% (lásd még a 10. táblázatot). Végül, de nem utolsó sorban, ha a liberálisoknak a rurális övezetekben mért magasabb támogatottsága negatívumként fogható fel, az a tény, hogy lényegesen javított 2000. évi teljesítményén, sőt az utóbbi parlamenti választásokra számított összesített PNL-PNLC-ApR(-UFD) eredményt is valamivel felülmúlta,52 s mindezt kormánypártként, pozitívumként értékelendő.
c) A Demokrata Liberális Párt53
A szervezetet a történelmi liberális párt Tăriceanu-ellenes szárnyát alkotó, s a PNL-ből kizárt vagy kivált politikusok - jelesül Theodor Stolojan, Valeriu Stoica, Gheorghe Flutur, Mona Muscă, Raluca Turcan és mások - hozták létre először csupán Liberális Platform néven 2006 októberében.54 Majd egy évvel az EP-választások előtt pártként is bejegyezték, s ilyen rövid idő alatt majdnem 8%-os párttá formálták. A PLD a legjobban Neamţ, Dâmboviţa és Suceava megyében teljesített, ahol a harmadik legerősebb pártnak bizonyult. A három közigazgatási egység közül az elsőben kevéssel 20% feletti arányban szerzett szavazatokat, de az utóbbi kettőben sem maradt el sokkal ettől a szinttől. Továbbá a voksok több mint 10%-át kapta Szeben, Konstanca, Iaşi és Giurgiu megyében. Összességében tizennyolc területi-közigazgatási egységben átlagon felüli, harmincban pedig a bejutási küszöböt meghaladó eredményt ért el (lásd a 7. és a 10. táblázatot). A leggyengébben
- a román nemzetiségű állampolgárokat megszólító pártokhoz többnyire hasonlóan - Hargita, Kovászna, Bihar és Maros megyében szerepelt, ahol az utóbbi kivételével nem érte el a 3%-ot (lásd még a 4. sz. kartogramot). Megemlítendő még, hogy mind a két liberális "pártcímkét" (party label) viselő szervezet jó eredményt ért el Giurgiu megyében, viszont meglehetősen gyengét Kolozs, Szatmár és Szilágy megyében. A két szóban forgó pártra vonatkozó további érdekesség, hogy saját eredményeikhez viszonyítva a PLD Brăila és Dâmboviţa megyében teljesített jól, Călăraşi-ban viszont rosszul, a PNL meg fordítva. Végül pedig nem meglepő, hogy a román pártok többségével egyetemben az Ókirályságban ért el valamivel jobb eredményt.55
d) A jobboldali erők összesített eredménye A jobboldali pártok szereplésével kapcsolatban két kérdést érdemes megvizsgálnunk, éspedig:
-
Vajon mekkora és milyen támogatásra számíthat a választások után, a PD és a PLD egyesülésével, megalakult Liberális-Demokrata Párt (Partidul Democrat-Liberal, a továbbiakban PD-L)?
-
Hogyan alakultak (át) az európai parlamenti választások után a román (parlamenti) pártrendszer belső erőviszonyai?
Először is a jelenlegi Liberális-Demokrata Pártot alkotó erők együttvéve, a négy "magyar" megyét (Hargitát, Kovásznát, Marost és Szatmárt) leszámítva hat megye kivételével (Argeş, Botoşani, Olt, Teleorman, Vaslui és Vrancea) mindegyikben megnyerték a választásokat úgy, hogy egyben (Krassó-Szörény) megszerezték a voksok abszolút többségét. Mi több, egyetlen megyében sem teljesítettek 20% alatt, s csak további ötben (Botoşani, Szatmár, Szilágy, Teleorman és Vaslui megyében) 20 és 30% között. Országos szinten a PD és a PLD együttesen 36,61%-ot ért el, ami igen közel áll ahhoz a szavazatokban mért erőhöz, amelyet Traian Băsescu szilárd elnöki pártja számára elképzelt.56
Másodsorban a jobboldal pártjai országos szinten összességükben a szavazatok abszolút többségét szerezték meg. Továbbá Hargita, Kovászna, Maros, Szatmár és Szilágy megye kivételével a három fő jobboldali párt minden közigazgatási egységben 40% feletti eredményt ért el, ezek közül huszonnégyben pedig abszolút többséget. Ezzel tulajdonképpen az erőviszonyok 2004-hez képest teljes mértékben átrendeződtek, s úgy tűnik: a korábbi baloldali fölényt jobboldali (vagy jobbközép) abszolút többség váltja fel, ami nagymértékben a populista politizálás eszközeit több ízben sikeresen alkalmazó államelnök kezdeményezéseinek köszönhető.57
A Szociáldemokrata Párt: A választások egyik legyőzöttjének tekinthető "szociáldemokratizálódott" kommunista utódpárt a három évvel korábban megtartott országgyűlési választásokhoz képest szavazóinak nagyjából egyharmadát veszítette el (23,12% a volt Humanista Párttal együtt szerzett 37%hoz képest). Emiatt - úgy tűnik - a pártrendszeren belüli dominanciája végérvényesen erodálódott, amint ezt a 2004. évi írásunkban előre jeleztük. Szavazóbázisa egyre inkább ókirálysági, de már a Kárpátokon túli megyékben sem sikerül abszolút többséget szereznie.58 (Sőt az egyik olyan megyében - Giurgiu -, ahol a legutóbbi általános választásokon abszolút többséget ért el, ezúttal csak átlagon aluli teljesítményre volt képes.) Míg három évvel korábban 28 megyében szerezte meg a szavazatok relatív többségét, ez 2007 novemberében már csak 15 megyében sikerült. A PSD három megyében teljesített 35% fölött, s csupán további hatban 30 és 35% között. Erdélyben lényegesen gyengébben szerepelt: mindössze Beszterce-Naszód, Hunyad, Máramaros és Szilágy megyében sikerült a szavazatok egyötödét elhódítania, s ezek közül is csak az elsőben teljesített jobban országos átlagánál. Végül abban a három megyében teljesített a leggyengébben, ahol az RMDSZ és Tőkés László kiélezett választási csatát vívott, azaz Hargita, Kovászna és Maros megyében (lásd az 5. sz. kartogramot).
Mindent összevetve: szavazótáborának erózióját a legbeszédesebben a következő tények mutatják: nincs olyan megye, ahol jobb teljesítményt ért volna el, mint 2004-ben; továbbá eredményeinek minimuma, maximuma és átlaga is kisebb, mint három évvel korábban.59 Külön érdekesség, hogy Călăraşi, Giurgiu és Ilfov megyében a PNL nagyon jó, a PD pedig Ilfovban nagyon jó, a másik kettőben pedig átlagon felüli eredményt ért el. Ezzel szemben a szociáldemokraták mindhárom helyen átlagon alul teljesítettek, sőt ebben a három megyében és Buzăuban vesztették százalékarányosan a legtöbb szavazatot (rendre 23,46; 29,18; 27,53 és 24,03-ot),60 holott Giurgiuban 2004-ben a szavazatok abszolút többségét bírták.
Ennek ellenére a szavazatarányoknak az átlag körüli kisebb szórása61 arra mutat, hogy az elmaradottabb, rurális vidékekből kialakult biztos választói bázisára62 bizonyos mértékben továbbra is számíthat. Ezt a feltételezést két másik megfigyelés is alátámasztja. Egyfelől abból a négy megyéből kettőben, ahol 2004-ben abszolút többséget szerzett, vagyis Vasluiban és Teleormanban - s ezeken kívül Olt megyében -, most is igen jól szerepelt. Másfelől a regáti területi-közigazgatási egységek közül Bukarestben, valamint Ilfov, Prahova és Mehedinţi megyében ért el gyenge eredményt, s ezek közül kettőben - Bukarest municípiumban és Prahova megyében - korábban sem bírt számottevő támogatottsággal.
A képviseletet nem szerzett pártok: Az Európai Parlamentbe be nem jutott pártok közül az alábbiakban csupán az Új Generáció Kereszténydemokrata Pártja, a Nagy-Románia Párt, a Konzervatív Párt és a Nemzeti Kezdeményezés Pártja alkotta fragmentált, de még mindig valamelyest népszerű nacionalista-populista tömbbel foglalkozunk.
a) A nacionalista-populista tömb
a1) Az Új Generáció Kereszténydemokrata Pártja
Gheorghe Becali futballmágnás pártjának igen kevés hiányzott az Európai Parlamentbe való bekerüléshez, hiszen a voksoknak a 4,86%-át szerezte meg. Ezt az eredményt két szempontból érdemes megvizsgálni és értelmezni: területi-regionális bontásban, valamint a párt és vezére népszerűségének a dinamikáját tekintve.
Az első szempont szerint a párt - leszámítva az országos és a többi megyében elért eredményéhez viszonyított igen jó Ilfov megyei szereplést, valamint a magyar nemzetiségű politikusok versengése jellemezte területi-közigazgatási egységekben mutatott gyengébb teljesítményt - eléggé kiegyensúlyozott támogatásnak örvend. Összesen tizennyolc megyében lépte át a bejutási küszöböt, de ezek közül csak kettő található a Kárpátokon innen: Brassó és Krassó-Szörény megye. Ezenkívül eredményei területi bontásban 2004-ben nem tükröztek semmiféle választásgeográfiai logikát, most legalább Erdély és a Regát különválik valamennyire,63 de ennél több rendszer nem fedezhető fel (lásd a 6. sz. kartogramot).
A 4,86%-ról diakróniai szempontból két dolgot állíthatunk: egyfelől azt, hogy Becali személyes vonzerejének és pénzének köszönhetően a PNG a legutóbbi általános választások óta eltelt időszakban megkétszerezte hívei táborát, másfelől - a közvélemény-kutató intézetek korántsem egybehangzó mérései ellenére - talán azt, hogy népszerűsége az elmúlt választási év folyamán egy biztató 10% fölöttiről a felére apadt (lásd az 1. ábrát és az 5. táblázatot). Ez is azt mutatja, hogy ez a párt továbbra is perszonális jellegű szervezet, amely méltán nevezhető karizmatikus pártnak,64 s amelynek sorsa nagymértékben függ a vezér pillanatnyi politikai ihletétől, ami 2007-ben jobbára hiányzott. Gheorghe Becali ugyanis nem váltott át a nacionalistapopulista retorikáról EU-konform vagy legalábbis Európával és Románia európaiságával kapcsolatos szlogenekre.65
a2) A Nagy-Románia Párt
Három évvel ezelőtt a PRM szereplésének az elemzését "[a] mostani választások nagy vesztese a Nagy-Románia Párt" kijelentéssel indítottuk, hiszen az előző parlamenti ciklus során Corneliu Vadim Tudor pártja mintegy 33%-ot veszített népszerűségéből. Az Európai Parlamentből való kiszorulást eredményező 4,15%-ot a 2004. évi 12,92%-os teljesítménnyel összevetve megállapíthatjuk: korábbi kijelentésünk most hatványozottan érvényes. A PRM három évvel ezelőtti támogatóinak csupán az egyharmadát bírja.66 Mi több, népszerűsége az "euroválasztások" évében ugyanúgy folyamatosan csökkent, csakúgy mint a PNG-é (lásd az 1. ábrát és az 5. táblázatot).
Sikertelenségének külső és belső okai egyaránt lehetnek. Belpolitikai téren minden bizonnyal az magyarázza a kudarcot, hogy a Nagy-Románia Párt sem tud gyökeresen változtatni retorikáján, habitusán. Egyfelől még névlegesen sem képes arculatot váltani, s kereszténydemokratává, néppártivá lenni, vagy pedig a korrupciót és gazdasági maffiát emlegető, s ezzel az államelnököt idéző retorikáját másra cserélni. Hiszen így választási szlogenje - În Europa, cu demnitate PRM (Európába méltósággal, PRM) - üres frázisnak vagy a legjobb esetben ügyesen megkreált façade-nak minősül. Külpolitikai téren a sikertelen szövetségi politika, a támogatás hiánya, elmaradása lehetett az a tényező, ami súlyosbította Tudor pártjának helyzetét.67
Végül a PRM szavazói támogatottságáról elmondható, hogy sok tekintetben hasonlít a PNG-ére. Az utóbbiénál azonban némileg még egyenletesebb megoszlású abban az értelemben is, hogy kevésbé különülnek el a Kárpátok két oldalán fekvő megyék. Jelesül a párt öt ókirálysági megyén kívül Beszterce-Naszód, Hunyad és Maros megyében is a bejutási küszöb felett teljesített, s nem sokkal maradt el ettől Arad, Kolozs és Máramaros megyében sem (lásd a 7. sz. kartogramot).68 Ez valószínűleg a párt erdélyi pillérének, a korábbi Gheorghe Funar-féle Román Nemzeti Egységpárt (Partidul Unităţii Naţionale Române, a továbbiakban PUNR) PRM-be vándorolt szervezeti egységeinek köszönhető.
a3) A Konzervatív Párt és a Nemzeti Kezdeményezés Pártja
A Konzervatív Párt eredménye, várható módon, visszaigazolta azt az elemzői és kommentátori körökben sokat hangoztatott véleményt, hogy Dan Voiculescu pártja voltaképpen "zsebpárt", amely önállóan nem képes választási sikerre. Különben a közvélemény-kutatások is megbízható módon előre jelezték, hogy a PC nem szerez a voksok 3%-nál többet (lásd az 5. táblázatot). Ennek ellenére igen jól szerepelt abban a két megyében, ahol az 5%-os bejutási küszöb felett teljesített (Galac megyében 12,15%-ot, Prahovában pedig 8,86%-ot ért el). Ami a támogatottságának nagyrégiók közötti megoszlását illeti, enyhe regáti fölényének a fele az említett két megyének köszönhető (lásd a 8. sz. kartogramot).69
A Nemzeti Kezdeményezés Pártjának építését Cosmin Guşă 2005 tavaszán kezdte70, s két és fél esztendő alatt körülbelül akkora eredményt ért el, mint Gheorghe Becali, amikor a PNG-t próbálta a semmiből párttá formálni. Különben, hogy pártja sikerének nem sok esélye van, akárcsak a PC esetében, a barométer-felmérések előre látták (lásd az 5. táblázatot). Evvel a párttal kapcsolatban talán még azt érdemes megemlíteni, hogy támogatóinak egyenletes megoszlása következtében egyetlen megyében sem lépte túl a bejutási küszöböt, s Erdélyben is, meg a Regátban is körülbelül ugyanolyan eredményt ért el (lásd a 9. sz. kartogramot).71
3.2. Az RMDSZ és Tőkés László független jelölt eredményei
Elemzésünk utolsó alfejezetének elején mindenképpen meg kell jegyeznünk, hogy nem ez volt az első országos szinten történő mandátumelosztással járó választás, amely során a magyar nemzetiségű vagy anyanyelvű szavazópolgárok voksaiért nem egyetlen politikai erő szállt harcba.72 Épp ellenkezőleg, országos szinten az RMDSZ-nek csak két ízben - 1992-ben és 2004-ben - nem kellett (elsősorban vagy kizárólagosan) a magyarok szavazataira igényt tartó szervezettel megmérkőznie. Viszont az is tény, hogy komolyabb szervezeti háttérrel és támogatottsággal bíró versenytárssal először most, az európai parlamenti választások alkalmával kellett szembenéznie. Mi több, Tőkés László független jelölt személyében olyan kihívóra talált, aki az előző esetekkel ellentétben a kommunista rendszer megdöntésében játszott szerepének köszönhetően, valamint annak, hogy korábban az RMDSZ tiszteletbeli elnöke volt, jelenleg pedig az Erdélyi Magyar Nemzeti Tanács (a továbbiakban EMNT) elnöke, komoly presztízzsel s jelentős politikai tőkével rendelkezett. Ezeket a megállapításokat illusztrálják a 11. táblázat adatai is, hiszen míg korábban a Szövetség versenytársai vagy ellenfelei legjobb esetben is a magyar szervezetek és jelöltek gyűjtötte szavazatok alig 2%-át tudhatták magukénak, a hat szervezet támogatását73 élvező független jelölt megszerezte ezeknek a voksoknak a közel 40%-át. Ez a 282 929, illetve 176 533 szavazat országos viszonylatban rendre az érvényes voksok 5,52, illetve 3,45%-át jelentette (lásd a 4. táblázatot).
A továbbiakban ezeket az eredményeket próbáljuk meg értelmezni. Tulajdonképpen egy szinkrónikus és két diakrónikus vizsgálatot lehetséges és érdemes elvégezni. Azaz egybe lehet vetni területi bontásban a magyar kisebbség szavazatait összegyűjtő két szereplő eredményét - kitérve arra is, hogy a többi párt eredményéhez hasonlítva milyennek minősül az RMDSZ és Tőkés László szereplése külön-külön és összesítve -, továbbá a Szövetség, illetve a magyar kisebbség szavazataiért versengő két szereplő összesített eredményét párhuzamba lehet állítani az RMDSZ korábbi teljesítményeivel.
Az RMDSZ
Amint már említettük, az RMDSZ a voksok 5,52%-át kapta, ami minden eddigi eredményénél, még a három évvel korábbi 6,17%-nál is gyengébb. A jó másfél évtizeddel korábbi szavazatarányával összevetve a mostanit megállapítható, hogy relatív terminusokban a Szövetség szavazóinak majdnem egynegyedét elveszítette. Ennél drámaibb népszerűségcsökkenést csak egyetlen párt szenvedett Romániában, mégpedig a PSD, pontosan az itt vizsgált választások alkalmával.74 Szavazatszámának és -arányának apadása ellenére az RMDSZ - a PD és a PSD mellett - egyike annak a három szervezetnek, amelyik képes volt bizonyos területi-közigazgatási egységekben (Hargita, Maros, Szatmár és Szilágy megyében) relatív többséggel megnyerni a választásokat. Az is igaz viszont, hogy korábbi eredményei alapján győzelmére számítani lehetett az első két-három megyében, s Kovásznában is. Ennek ellenére az RMDSZ Hargita megyében alig több mint fél százalékkal nyert, Kovászna megyében pedig második lett. Nem szerepelt rendhagyó módon sem Bihar, sem Kolozs megyében, ahol a második, illetve a harmadik legnépszerűbb erőnek bizonyult. Ezenkívül 5% fölötti szavazatarányt még Arad, Brassó, Beszterce-Naszód és Máramaros megyében ért el.75 Az ókirálysági közigazgatási egységek közül Bukarestben és Bákó megyében szerepelt a legjobban, ahol meglepően inkább a fővárosi magyarok, valamint a moldvai csángók szavazataira számíthatott (lásd a 10. sz. kartogramot).76
Érdemes viszont megvizsgálni, hogy miként oszlik meg a három évvel korábbi eredményeihez viszonyítva a mintegy 10,5%-os veszteség. Azt találjuk ugyanis, hogy az RMDSZ-től mindössze a két székelyföldi megyében pártoltak el tömegesen a magyar nemzetiségű választópolgárok, s szavaztak a vele versengő független jelöltre. Hargita és Kovászna megyében az RMDSZ szavazatvesztesége 2004-hez képest több mint 33%. Viszont e két területi egységen kívül csak ötben veszített 1%-nál többet a népszerűségéből, nevezetesen Bihar, Kolozs, Máramaros, Maros és Szatmár megyében
-
-
-
igaz a Partiumban a veszteség összességében 5% fölötti. A Szövetség további 12 megyében 1%-nál kisebb veszteséget, 21 területi-közigazgatási egységben - amelyek közül 3 erdélyi megye (Brassó, Krassó-Szörény és Szeben)
-
-
-
pedig 1%-nál kisebb nyereséget könyvelhetett el legutóbbi országos eredményeihez képest.
Tőkés László (független jelölt)
Tőkés László az érvényes szavazatok 3,45%-át gyűjtötte be, s ezzel egyetlen független jelöltként Románia képviselője lett az Európai Parlamentben. Akárcsak az RMDSZ-nek, Tőkés Lászlónak is sikerült relatív többséget szereznie, igaz, csak egyetlen megyében, Kovásznában, de figyelemre méltó módon a legjobb megyei eredménnyel országos viszonylatban (47,77%). Emellett Hargitában is csak kevéssel maradt el az RMDSZ mögött, s így ő lett az egyedüli választási szereplő, akinek két megyében sikerült a voksok több mint 40%-át elhódítania. Ám e két kimagasló eredményt leszámítva csupán két közigazgatási egységben (Maros és Szatmár megyében) szerzett a szavazatok egytizedénél többet, s a pártok számára előírt küszöböt további három, valamint az egyéni jelöltek küszöbét további egy megyében - Bihar, Kolozs és Szilágy megyében, illetve Máramarosban - lépte túl .
Ha területi bontásban hasonlítjuk össze az RMDSZ és Tőkés László eredményeit a felek által "megnyert" megyék számának meghatározása csalóka eredményre vezethet, hiszen Tőkés László huszonhárom, a Szövetség pedig tizenkilenc megyében kerekedett felül. Nem szabad tehát szem elől téveszteni azt a tényt, hogy Tőkés László szoros győzelmeket aratott rendszerint a Kárpátokon túl.77 Ez alól a megállapítás alól csak Kovászna megye kivétel. Viszont az RMDSZ-nek az erdélyi megyék zömében sikerült szavazótábora többségét megőriznie, s ezzel biztosította a Tőkés László képviselte, néhány éve már szervezeti szempontból a Szövetségből ki is szorult - korábbi belső - ellenzékével szembeni fölényét. Ebben a vonatkozásban korántsem meglepő, hogy az RMDSZ legerősebb bástyájának a legszűkebb körű RMDSZ-elit néhány tagjának otthont adó Maros megye bizonyult, ahol a Szövetség több mint 20%-kal gyűjtött több szavazatot, mint kihívója. Továbbá több mint 15%-os fölénnyel nyert Szatmár és Szilágy megyében is, s más négyben (Arad, Bihar, Brassó és Kolozs megyében) több mint 5%-os előnyt szerzett. Végül hat erdélyi megyében előnye meghaladta az 1%-ot.
Tőkés László és az RMDSZ versengésével kapcsolatban érdemes még egy dolgot megemlíteni, ugyanis bizonyos részleteiben kissé félreérthető a Transidexen olvasható vita a protesztszavazatokról. Mindenesetre Székely István a Tőkés László kapta szavazatok egy részét a pártokkal, a pártpolitika jelenségével szembeni, részben az államelnök kiváltotta tiltakozásként fogja fel.78 Ez esetben román nemzetiségű állampolgárok voksairól lehet csak szó. A hipotézis elméleti érdemeit nem vonva kétségbe egy dolgot jeleznénk csupán: tizenöt regáti megyében az RMDSZ is, és Tőkés László is
73 Az EMNT mellett a következő ötről van szó: a Székely Nemzeti Tanácsról (a továbbiakban SZNT), a Magyar Polgári Szövetségről (a továbbiakban MPSZ), a Magyar Polgári Egyesületről (a továbbiakban MPE), a Magyar Ifjúsági Tanácsról (a továbbiakban MIT) és az Erdélyi Magyar Ifjakról. (Gazda Árpád: A jelöltállítás kronológiája. Gőgösen kezdte, megszeppenve fejezte be az RMDSZ a listaállítást. Krónika, IX. évf., 177. sz. (2007. szeptember 12., szerda) 4.)
74 Ennél csak két drámaibb "szavazatvándorlási" esetet ismer a rendszerváltás utáni román politikatörténet. Azonban a romániai magyarság "etnikai hegemón" (ethnic hegemon) pártja szavazói támogatottságának a csökkenését értelmetlen lenne a szimpatizánsok olyan jellegű és mértékű elpártolásához hasonlítani, mint amilyent a Román Demokrata Konvenció (Convenţia Democrată Română, a továbbiakban CDR) felbomlása okozott 2000-ben, s ami végső soron a szervezet eltűnését vonta maga után. Hasonlóképpen, az okokat tekintve, a Demokratikus Nemzeti Megmentési Front (Frontul Democrat al Salvării Naţionale, a továbbiakban FDSN) támogatottságában 1990 és 1992 között tapasztalt csökkenés sem teljesen analóg az RMDSZ népszerűségének jelenlegi visszaszorulásával, bár kétségkívül a szárnyakra bomlás közös vonása mindkét jelenségnek.
Az RMDSZ és Tőkés László összesített eredménye
Mindenképpen érdemes arra fölfigyelni, hogy a két fél gyűjtötte aláírások és szavazatok számának összege egyaránt hozzávetőlegesen 459 000, csakhogy a támogató aláírások benyújtása és a választások időpontja között 30 ezer támogató az RMDSZ-től a független jelölthöz vándorolt. A hangsúly ellenben nem ezen a csekély 6,54%-os "illékonyságon" van, hanem azon, hogy a magyar szavazatokért harcba szállt erők erre a 450-460 ezer biztos szavazóra számíthattak 2007-ben. Sajnos, ez egyúttal azt is jelentette, hogy folytatódott a "magyar" szavazatok számának a csökkenése, mégpedig mintegy 170 000-rel, ami a három évvel korábbi eredményhez képest 26,85%-os fogyással egyenértékű. Ez a csökkenés abszolút és relatív értelemben egyaránt nagyobb minden eddiginél.79
Az RMDSZ és Tőkés László együttvéve öt megyében (Hargita, Kovászna, Maros, Szatmár és Szilágy) megnyerte a választásokat. Sőt a magyar (nemzetiségű és/vagy anyanyelvű) választópolgárok voksaiért folyó versengésük a derülátó elemzők és kommentátorok véleményét igazolta vissza, miszerint a "választás szabadsága" lehetőséget teremthet a magyar kisebbség rejtett vagy éppenséggel elveszettnek hitt mobilizációs tartalékainak a kiaknázására.80 Ugyanis a két tábor összesített eredményét tekintve a versenytárs megjelenése 9-10%-os többletet eredményezett három megyében (Hargita, Kovászna és Maros megyében), valamint 3 és 7% közöttit négy megyében (Bihar, Kolozs, Szatmár és Szilágy megyében). Tulajdonképpen az RMDSZ és Tőkés László összesített eredménye a legtöbb erdélyi megyében legalább 1%-kal jobb, mint az RMDSZ 2004. esztendei teljesítménye, s országos viszonylatban is kevés az a területi-közigazgatási egység ahol a többlet fél százalék alatti. "Aggregált veszteség" csupán Bukarest municípiumban figyelhető meg, s ezt minden bizonnyal az magyarázza, hogy a választásoknak a szavazópolgárok által helyesen percipiált kisebb tétje miatt a külképviseleteken mind a Szövetség, mind a független jelölt meglepően kevés szavazatot kapott.81
A magyar kisebbséget képviselő erők összesített eredményében bekövetkezett változást kifejező fentebbi százalékarányokat - amint Bukarest példája ezt igen frappánsan szemlélteti - természetesen nemcsak az RMDSZ és a független jelölt szereplése befolyásolja, hanem a román pártoké is, s méginkább az egyes megyékben mért részvételi arány. Mi több, joggal tehető föl a kérdés: beszélhetünk-e abszolút számokban az említett mozgósítási tartalék kiaknázásáról. Ahhoz, hogy erre válaszolhassunk, figyelembe kell venni, hogy az országos részvételi arány 2000 és 2004 viszonylatában 7,2; 2004 és 2007 viszonylatában pedig 29,08%-kal csökkent. Ilyen körülmények között szerintünk a mobilizációs rezerva értékesítését voltaképpen a magyarság képviseletét biztosító szereplők összszavazata csökkenésének a mérséklődésével kellene kifejezni. Ebben a tekintetben élen jár Hargita és Kovászna megye, ahol a két magyar politikai erő együttvéve, voksokban mérve, kevesebbet veszített támogatottságából, mint az RMDSZ az előző parlamenti ciklus folyamán. De nem csupán ezt a tényt - s az ilyen eredményt regisztráló megyéket - kell figyelembe venni, hanem potenciálisan a szavazatszám hozzávetőlegesen négyszeres82 csökkenésével kell számolni. Annak érdekében, hogy minél érvényesebb következtetést vonhassunk le a mozgósítási tartalékkal számoló hipotézis helyességét illetően, azt a konvenciót alkalmazzuk, hogy amennyiben a szavazatveszteség egy adott megyében meghaladja a 2000 és 2004 közötti időszakra vonatkozónak a háromszorosát, úgy tekintjük, hogy az illető közigazgatási egységben nem került sor e tartalék kiaknázására.83 Viszont amennyiben a szavazatcsökkenés az előző időszakban bekövetkezett duplájánál84 kevesebb, joggal állíthatjuk, hogy a versengés felcsigázta a magyarok érdeklődését a választások iránt, s jótékony hatással volt a részvételükre. Nos, a szavazói támogatás az általunk választott határértéknél csupán Beszterce-Naszód, Máramaros és Szatmár megyében nagyobb arányú, ám további hét erdélyi megyében (Arad, Bihar, Brassó, Kolozs, Maros, Szilágy és Temes) kisebb.
Végeredményben a szavazatcsökkenés tekintetében az erdélyi térségek és megyék három csoportja különböztethető meg:
-
a Hargita és Kovászna megye együtteseként értelmezett Székelyföld, ahol a verseny igen nagy mértékben visszafogta a - minden bizonnyal távolmaradás okozta - veszteséget;
-
Arad, Bihar, Brassó, Kolozs, Maros, Szilágy és Temes megye, ahol a választás lehetőségének (is) köszönhetően bizonyos mértékben visszaszorult a szavazatveszteség;
-
valamint Beszterce-Naszód, Máramaros és Szatmár megye, ahol a szavazatveszteség csupán kevéssé vagy egyáltalán nem mérséklődött.
Ennek tükrében valószínűleg igazuk van azoknak, akik legalábbis ez alkalommal pozitívumként értékelték az etnikumon belüli versenyt. Azt viszont csak találgatni lehet, hogy mi lett volna, ha mégis bekövetkezik a sokak által remélt megegyezés.
Következtetések helyett
A román pártrendszer és az erdélyi magyarság képviseletének alternatívái
Dolgozatunk szorosabb értelemben vitaindító része előbb röviden áttekinti az elemzés azon eredményeit, amelyek szerintünk akár konklúzióknak is felfoghatók a román pártrendszer további fejlődési irányvonalait tekintve, hiszen ezek az irányvonalak nem közömbösek a romániai magyar politikai képviselet jövőjének szempontjából. Végül a romániai magyar pártpolitizálás alternatíváit próbálja meg fölvázolni.
a) Változás és folytonosság a román pártrendszerben
Az európai parlamenti választások eredményeinek ismeretében kijelenthetjük: a román pártrendszer legerősebb kontinuitási eleme az időközben a Demokrata Liberális Párttal egyesült Demokrata Párt helyzetének a megszilárdulása, ami nagymértékben az államelnök ügyes manővereinek köszönhető. A PD az egyesülést megelőzően a pártrendszer egyik legintézményesültebb s egyben legidősebb, legfolytonosabb pártja volt. Hasonlóképpen kontinuitási elem, hogy kormánypárti pozícióból a történelmi pártként számon tartott PNL is képes erősödni. Végül folytonossági elemként említhető a nacionalista-populista pólus két kisebb pártjának a PNG-nek és a PIN-nek a bejutási küszöb alatti teljesítménye. Legalábbis az utóbbiról nehezen állítható, hogy az újabb választási esztendő során jelentősen meg tudna erősödni, viszont 2008 vonatkozásában Gheorghe Becali az, akit pártjával együtt botorság lenne leírni.
A PD korábbi útitársa, a Szociáldemokrata Párt tovább veszített népszerűségéből, s ez akár változásként is számon tartható. Az viszont mindenképpen a változás irányában mutat, hogy a Nagy-Románia Párt támogatói bázisa drámai módon erodálódni látszik, noha a román demokrácia elkötelezettjeiként ezt a fejleményt semmiképpen sem tarthatjuk negatívnak. Hasonlóképpen a Konzervatív Párt kudarca is közvetve a nagy európai pártcsaládok erősödését jelenti, hisz a PC-t korántsem a(z ideál)tipikus konzervatív ideológia képviselőjének ismertük meg.
Tehát az európai parlamenti választások, a magyar szereplőktől egyelőre eltekintve, egy hárompólusú - szociáldemokratákból, önmagukat néppárti-kereszténydemokratának tituláló szociál-liberálisokból és jobboldali liberálisokból álló - pártrendszert körvonalaznak. Ebbe ékelődne bele, vélhetően, egy magyar etnoregionalista párt, s talán a nacionalista-populista pólus valamelyik maradványa, lett légyen az a PNG vagy a PRM, bár ez utóbbi egyértelműen egyre csak gyengül, s valószínűleg csak olyan választás alkalmával lehet még esélye jól szerepelni, ahol a "magyarkérdés" újra tét.
Végül az a tény, hogy a magyar szavazópolgárok voksaiért nem egy politikai erő szállt versenybe, nem tekinthető egyértelműen sem kontinuitási, sem transzformációs elemnek. A kontextus, a szereplők és az eredmények ismeretében inkább a kettő - egyelőre szerencsés - ötvözetének. Viszont ezt a kérdést, hogy tulajdonképpen milyen irányban fejlődik tovább a romániai magyar képviselet szervezeti-intézményi háttere, s hogyan képzelhető el ennek a konfigurációja bővebben, árnyaltabban az alábbiakban, írásunk záró alfejezetében taglaljuk.
b) A romániai magyar pártpolitizálás alternatívái
b1) Az oszloposodási projekt bukása
A november 25-i európai parlamenti választások eredményeinek egyik olvasata, hogy a "magyar vagyok, tehát az RMDSZ-re szavazok"automatizmus lebomlóban van85, illetve, hogy az RMDSZ azon törekvése, hogy ezt az automatizmust fenntartsa, egyre kevésbé sikeres. Az RMDSZ-re és Tőkés László független jelöltre leadott szavazatok megoszlása, valamint a Magyar Polgári Párt immár majdnem akadálymentes bejegyzése86 egyben előre vetíti, hogy kialakulóban van az erdélyi magyarság plurális politikai képviselete, amely mintegy leváltja az RMDSZ "egységparadigmáját".
Az RMDSZ politikai projektje jószerével három egymással versengő, de ennek ellenére egymást nem kizáró, hanem több vonatkozásban is átfedő, elméleti keret segítségével értelmezhető:
-
-
-
kisebbségi nemzetépítésként, mely esetben a nacionalizmus-kutatás terminus technicusai jelentik az adekvát fogalmi hálót,87
-
-
-
a kisebbségi mozgalmak és pártok szervezeti-intézményi mintázata szempontjából88
-
-
-
és végül az oszloptársadalmak89 logikája szerint. Az alábbiakban az RMDSZ megváltozó szerepét ez utóbbi nézőpontból, az "oszloptársadalom-projekt" bukásaként értelmezzük.
Az oszloptársadalmak,90 amint ezt a rájuk vonatkozó irodalomból ismerjük, "a társadalmi terek szubkulturális alapú szegmentálódásával"91 jönnek létre úgy, hogy politikai, szakmai, kulturális, valamint gazdasági szervezetek92
- vallási vagy világnézeti alapon - valóságos szervezeti hálókká fonódnak öszsze. Az oszloposodott társadalmakban a politikai magatartást a szubkultúrákban összegződő - vallási és ideológiai - meggyőződések, valamint az ezeket fenntartó társadalmi-szervezeti kapcsolatok határozzák meg, amelyek világnézeti alapon szövik bele az egyént az illető szubkultúrába, és ezzel politikai szocializációját is elvégzik. Vallási és/vagy ideológiai alapon tulajdonképpen párhuzamos intézményrendszerek jönnek létre, saját iskolahálózattal, médiával, érdekvédő szervezetekkel, szabadidő-egyesületekkel - tehát integrált civil szférával - és politikai pártokkal.93 Az "oszlopokat" tehát ezek az intézményi összefonódások alkotják, amelyek szervezett politikai szubkultúrák, jelentős anyagi-szervezeti erőforrásokkal, és amelyekben a politikai viselkedést a csoporthoz, a szubkultúrához tartozás határozza meg.
Az oszlopok közötti konszenzusos, vagyis az ezek tulajdonképpeni társulását megalapozó egyezségek megkötése után az érdekegyeztetés, illetve a javak elosztására vonatkozó döntések az egyes pilléreken belül történnek, az oszlopok csúcsán álló politikai képviseletek - az ún. kupolaszervezetek94 - a továbbiakban részben koordinálják a pilléreket, részben pedig közvetítik a döntéseket az ország politikai rendszere és az oszloptársadalom között.
Az RMDSZ szinte természetes, "magától adódó" módon törekedett arra, hogy az erdélyi magyarságot mint nyelvi-etnikai közösséget politikai szubkultúraként integrálja a román társadalomba.95 Ebben a történelmileg kialakult mentalitás, a magyar és román nemzetépítés ellentéte, de a rendszerváltás sajátos kontextusa is a segítségére volt. Hiszen az új politikai rendszer kialakításának kezdetén egyfajta "rendszerkonstituáló" konszenzuselemként a román politikai szereplők a nemzeti kisebbségi szervezeteknek a választásokon való részvételük jogi engedélyezésével és az ehhez kötött - kezdetben alanyi jogon, később pedig csak kedvezményesen biztosított - "korporatív" képviselettel e kisebbségi csoportok választói bázisát tulajdonképpen átengedték a képviseletüket felvállaló etnikai szervezeteknek. A magyarság esetében ez az "oszloposodás projektje" felé terelte az RMDSZ-t, és ennek stratégiai törekvéssé válásában további két tényező volt meghatározó: a) az oszlopszervezéshez a román kormányok biztosították a kulturális közpolitika erőforrásait (ezt viszont RMDSZ vezetői nagyon sokáig - 2003-2004-ig - a közjogi autonómiát elfogadható módon pótoló egyezségnek, kompromisszumnak tekintették); b) az RMDSZ-t a kartellként működő román pártrendszer egyik kartellpártjaként integrálta96.
Mára azonban ez a "terv" megbukott, s a bukásnak oszlopon belüli, valamint azon kívüli okai egyaránt voltak. A külső okok nyilvánvalóak: az oszloptársadalmak stabilizálódása csak ott és akkor volt sikeres, ahol és amikor legalább három párhuzamos - önmagában kisebbséget alkotó társadalmi-szubkulturális szegmenst megjelenítő - oszlop is kialakult,97 aminek eredményeképpen a szemben álló pártok stabil szavazóbázis, a szemben álló elitcsoportok pedig biztos intézményi hátország tudatában egyezkedhettek a közjavaknak az oszlopok közötti elosztásáról. A román társadalom viszont egészében nem pilléresedő társadalom, ezért a magyarság oszlopként való beilleszkedése a demokratizálódó román társadalomba a kilencvenes évek során nem lehetett sikeres projekt.98 Az oszlopon belüli ok valószínűleg magában az erdélyi magyar társadalom kulturális-regionális megosztottságában rejlik. Túl heterogén ez a társadalom ahhoz, hogy egy esetleg szegmentált politikai kultúra egyetlen szubkulturális oszlopába integráltan egységes szavazóbázist alkosson: regionális tagoltsága erőteljes, továbbá politikai elitjének a kohéziója is megszűnőben van. Míg a kilencvenes években és 2000 táján az erdélyi magyar civil társadalom szubkulturálisan kötött szervezetek fürtjének tűnt, mára e szféra önállósága megnőtt, és az "elitjét tisztelő" választó típusa is visszaszorulóban van. A televíziózási szokások alakulása is ezt a pillérek meggyengülésére (depillarization)99 emlékeztető folyamatot erősítette: az egységes magyar médiatér kiterjedése Erdélyre a magyarországi kétpólusú - és egyúttal nem konszenzusra törekvő, hanem történeti hagyományaiban is adverzariális100 - politikai élet (vita) stílusának, éthoszának kedvezett.
Ennek következtében az RMDSZ azon törekvése, hogy a választói támogatottság megőrzése érdekében összhangban tartsa saját szubkulturális párt- és kartellpárt-karakterét, az egész erdélyi magyarság tekintetében ellehetetlenült, s így a kísérlet sikerének esélyei is elszálltak. A "terv" főleg a székelyföldi választók nézőpontjából bizonyult problematikusnak, ahol a térségen belüli versenyek, a kis helyi elitkompetíciók hamar felszínre hozták a "projekt" belső ellentmondásait. Az "oszlop-projekt" bukása mégsem tekinthető egyértelmű kudarcnak s egyúttal lezárt folyamatnak, mert eredményei, tanulságai felhasználhatóak a következő korszak szervezetépítő munkájában, ami valószínűleg már el is kezdődött.
b2) A Székelyföld-probléma és a kétpólusú politikai szerkezet
Az EP-választás eredményei is rámutattak arra, hogy az RMDSZ egy "Székelyföld-problémával" küszködik. Ez valószínűleg abból adódik, hogy politikai logikája az interetnikus környezet problémavilágát tükrözi, és hogy e logikát az ebben a környezetben "szocializálódott politikai elit hozta létre olyan problémák megoldására, amit elsősorban a román-magyar együttélés okoz".101
A románság Székelyföld számára a média által megjelenített, ideologikusan megrajzolt kontextus - igazából médiafüggetlen és narratívákon kívüli közvetlen tapasztalatként nem létezik. Míg az "interetnikus környezet" magyarjai számára az állami intézményekkel való napi kapcsolat minden problematikussága áthelyezhető volt román-magyar dimenzióba, és az RMDSZ ennek a problematikusságnak a menedzsereként tudott megjelenni, Székelyföldön ugyanez már nem volt megvalósítható. Itt az RMDSZ maga az adminisztratív hatalom, éppen úgy része az államnak, mint másutt a többi román kartellpárt: használja annak közszolgálati erőforrásait (még ha azon osztoznia is kell a kartell többi pártjával), pénzügyi hátteret biztosít magának az állam segítségével, sőt kismértékben még konfigurálja is az állam intézményi adottságait. Viszont ez az állami és önkormányzati struktúrákra bízott, azokra ráépült RMDSZ már nem tud oly módon kijáró komponense lenni a magyar oszlopnak, ahogy ez az "interetnikus környezetben" működik. A székelyföldi civil társadalom pedig ezzel az állami és önkormányzati struktúrákba beszippantott párttal szemben jelent meg.
Az "interetnikus környezetben" viszont - és ezen változatos körülményeket, statisztikailag talán nem is meghatározható helyzeteket kell érteni, életvilágok olyan sokaságát, amelyben a román-magyar együttélés többféle informális kapcsolattípus mindennapi együttesét jelenti - az RMDSZ politikai logikája a "magyarnak lenni" napi tapasztalatára épült rá azzal a problémaátfogalmazó kreativitással, amely minden sikeres politikai aktor tevékenységét jellemzi. Vagyis az RMDSZ-nek ebben a környezetben sikerült politikai lépéseinek az indoklását ebből a tapasztalatvilágból levezetnie, illetve erre visszavezetnie mégpedig azon a módon, ahogy ez az európai oszloptársadalmak (Hollandia, Belgium, Ausztria) megkonstruálásának és fenntartásának példáiból ismert. Nem más ez, mint az a mód, az az eszköztár, amely biztosítja az oszlop elitjének, hogy a létező kollektív identitásra - a feszültségek keltésének és feloldásának finom játéka révén - rátelepedjék.
Hogy az RMDSZ "oszloptársadalom-projektjének" elemeire bomlása - vagyis a két fennebb vázolt logika erőteljesebb elválása - milyen szcenáriókat eredményezhet, az két további fejlemény figyelembevételével vázolható:
Egyrészt kérdés, hogy megváltozik-e a román pártok álláspontja a magyar szavazókkal (tehát nem közvetlenül a "magyar kérdéssel") szemben, azaz: lemondanak-e arról az 1990-es rendszeralapozó konszenzuselemről, amely szerint a magyar szavazók az RMDSZ-re "tartoznak", ezekért a szavazatokért nem érdemes versenyezni, inkább a már megválasztott magyar képviselet "integrálására" kell összpontosítani. Ennek az álláspontnak a megváltozása egy cseppet sem kizárt, ez kiolvasható például Traian Băsescu államfő kezdeményezéseiből: terve, hogy felszámolja az RMDSZ-t mint a magyarság parlamenti képviseletét, sikere esetén a versenydimenziót szélesíti a román pártok számára, megnyitja az utat olyan - egymással versengő - tematizációk előtt, amelyekkel e pártok a magyar szavazatok egy részét is megszerezhetik.
Másrészt fontos körülmény a Székelyföld-"interetnikus környezet" közötti, fentebb vázolt különbség átalakulása (vagy artikulálódása) a magyar "etnikai pártpaletta" pluralizálódása során. Ebben az alternatívákat most már az határozza meg, hogy a pártverseny két dimenziója, a versenydimenzió és az identitásdimenzió102 milyen viszonyba kerül az intézményesülő magyar többpártiság nyomán a két egyértelműbben elkülönülő övezetben. Az szinte magától értetődő, hogy a versenydimenzió erőteljesebb lesz a Székelyföldön, míg "interetnikus környezetben" az identitásdimenzió, vagyis a már megszerzett szavazók megtartása marad a meghatározóbb.
Az első fejlemény kapcsán mindenképpen megjegyzendő, hogy az RMDSZ-re vonatkozó konszenzus megbomlásának bevezető lépése - a magyarság jelenlegi parlamenti képviseletének "felszámolása" - nem újdonság a román pártrendszer tematizációs palettáján. Mindig volt egy-két román párt, amely megfogalmazta ezt: az elmúlt jó tíz év során elsősorban a Nagy-Románia Párt volt e cél következetes megjelenítője. Csakhogy a PRM egyértelműen marginalizált volt a Románia EU-csatlakozását előkészítő szakaszban, miközben a többi párt - talán a Konzervatív Párt kivételével - hasznosnak tekintette az RMDSZ-nek az 1990-es arrangement szerinti kezelését. Most azonban többpárti konszenzus körvonalazódik e hallgatólagos rendszerkonstituáló egyezség felmondására, és felteendő a kérdés: mit tesznek e pártok, ha a román parlamentben nem lesz a magyarságnak korporatív képviselője, illetve ha marad is "magyar képviselet", de az nem rendelkezik a teljes magyar szavazótábor támogatásával. Feltételezhető ugyanis, hogy amennyiben a parlamenti választásokon a jövőben az RMDSZ és az MPP egymással (is) kényszerül megmérkőzni, a kettejük közül győztesen kikerülő szervezet nem fogja elérni az 5%-os bejutási küszöböt, s így a romániai magyarság csak a kedvezményesen megszerezhető egyetlen kisebbségi mandátumhoz jut.
A leírt helyzetre a "román" pártok válasza nyilván egy tanulási folyamat eredménye lesz. Számos válasz születik a "kísérletezések és korrekciók" (trial and error) módszerével, és ezek a válaszok elvileg egy meglehetősen széles palettát alkothatnak, kezdve egyes RMDSZ-ből kiszorult politikusok megnyerésével el egészen a "kisebbségi tagozatok" belső szervezeti létrehozásáig. A lehetséges forgatókönyvek kérdése azonban még összetettebbé válik, amennyiben a pártrendszer átalakulása oly mérvű lesz, hogy az érinti a pártbejegyzésre vonatkozó (jelenleg rendkívül restriktív) kartellegyezséget is, amely eddig szinte ellehetetlenítette a regionális pártok bejegyzését. Ha ugyanis ez lehetségessé válik, akkor - regionális dimenzióban - további változatokkal bővülhet a román-magyar etnikai határvonalat átlépő pártkoncepciók lehetőségeinek a tárháza, s ezzel ismét aktualitássá válnak a Provincia című folyóirat, valamint a szerzői köre által 2000 és 2002 között felvetetett kérdések. Noha - hogy csak egy változatot említsünk - a transzetnikus párt gondolata önmagában is figyelemre méltó elképzelés, s emellett a kartell gyengülésére utaló jelekre, jelzésekre is felfigyelhettünk a jelenlegi parlamenti ciklus, s különösképpen az utóbbi két esztendő folyamán,103 a román pártrendszer átalakulására egyelőre aligha számíthatunk. Hiszen a változ(tat)ásban leginkább érdekelt államfő nemhogy háborút, hanem fontosabb politikai csatát is alig nyert az elmúlt esztendőben,104 s az európai parlamenti választások csupán egyetlen számottevő változást hoztak: a liberális mozgalom ama szárnyának az előretörését, amely a PD-hez áll közel.
A magyar képviselet pluralizmusa tekintetében is több változattal lehet számolni. A lehetőségek palettája a "megtűrt pluralizmustól" - amely az RMDSZhegemónia fennmaradását jelenti egy-két kisebb magyar párt megjelenése mellett - egy kétpólusú, új politikai szerkezet kialakulásáig terjed. Amennyiben ez utóbbi olyan önkorlátozó "kétpártrendszerré" alakul, amely egyben területileg és szervezetileg is szétválasztja a Székelyföld-"interetnikus környezet" különbségben megjelenő politikai logikákat, akkor hosszabb távra is érvényes szerkezet jöhet létre, gyakorlatilag az az újabb szerkezeti paradigma, amely az RMDSZ jó másfél évtizedes egységféltő filozófiájának a helyébe lép.
Ehhez azonban a most körvonalazódó két pólusnak jelentős mértékben át kell alakulnia. Egyrészt az RMDSZ-nek olyan újfajta pártszervezeti struktúrát kell kialakítania, amely megfelel kettős helyzetének, annak, hogy "interetnikus környezetben" egyfelől továbbra is meg tudjon maradni a civil társadalmat fürtszerűen összefogó, számára forrásközvetítő, "oszlopszervező" szerepben, másfelől pedig hogy Székelyföldön, ahol már nem rendelkezik egyeduralommal, kiépítse a régió önkormányzati feladataihoz illeszkedő tematikákat megjelenítő versenypártot. Különös nehézsége e feladatnak, hogy a két feladatkör nagyon eltérő, sőt egymásnak ellentmondó karakterű, ezért integrálásuk egyetlen pártszervezetbe nagyfokú politikai kreativitást igényel. Másrészt az EP-választás székelyföldi eredményei nyomán körvonalazódó újabb pólusnak szintén ugyanilyen politikai kreativitásról kell tanúbizonyságot tennie, hiszen az egyértelműen Székelyföld-centrikus Magyar Polgári Pártnak elsősorban meg kell találnia azt az integráló megoldást, amelylyel ki tud lépni Székelyföldről. Másodsorban pedig: meg kell oldania azt a kérdést, amely Tőkés nem székelyföldi szerepéből és sajátosan antipolitikus habitusából következik, miközben az európai parlamenti választások eredményei mégis az ő kezébe tették le a jobboldali pólus összefogásának az esélyeit. Hogy ezeket a belső integrációs dilemmákat meg tudja-e oldani, s hogyan oldja meg e pólus, abban döntő szerepe lehet a Fidesznek, mint "szponzornak", mivel forrásokat tud biztosítani ehhez az építkezéshez.
A kétpólusú, de ennek ellenére - legalábbis az elitek viselkedése, meg talán a majdani autonóm kisebbségi intézményi konstrukció tekintetében - a konszenzusos demokráciára emlékeztető politikai szerkezet105 csakis a két pólus letisztázódása után jöhet létre. És ahhoz, hogy e hosszabb távra szóló megegyezés tényleg stabil - konszenzusorientált és szavatolt - legyen, pontosan rögzíteni kell, melyek azok a területek, amelyeken a szemben álló felek versenytársak (például az önkormányzati választások), és melyek azok, ahol konszenzussal hoznak döntéseket (a parlamenti helyek kérdése, a támogatási prioritások kijelölése, a források elosztása), akár arányossági, akár paritásos alapon.
4. táblázat. A 2007. november 25-i európai parlamenti választások összesített eredménye
|
Párt vagy független jelölt |
Szavazatszáma) |
Százalékaránya) |
Megszerzett mandátumok száma |
Transznacionális politikai kapcsolatok (státusb)) |
|
PDc) |
1 476 105 |
28,82% |
13 |
Európai Néppárt (tag - 2007-től) |
|
PSD |
1 184 018 |
23,12% |
10 |
Európai Szocialisták Pártja (tag - 2005-től) |
|
PNL |
688 859 |
13,45% |
6 |
Európai Liberális Demokrata és Reform Párt (tag - 1997-től) |
|
PLD |
398 901 |
7,79% |
3 |
- |
|
RMDSZ |
282 929 |
5,52% |
2 |
Európai Néppárt (tag - 2007-től) |
|
PNG |
248 863 |
4,86% |
- |
- |
|
PRM |
212 596 |
4,15% |
- |
(jelenleg nem rendelkezik semmilyen státussal)d) |
|
Tőkés László |
176 533 |
3,45% |
1 |
(frakcióhovatartozása egyelőre tisztázatlan) |
105 A kétpolusú, de konszociációs politikai rendszer nem precedens nélküli. Ilyenként működött Kolumbia 1958 és 1974 között, Uruguay 1951-től 1967 tavaszáig, Libanon 1943 és 1975 között, valamint - bár folytonos polgári rendről és demokráciáról aligha beszélhetünk - 1989 óta, illetve Ausztria legalábbis 1945 és 1966 között. (Vö. Arend Lijphart: i.m. 122.; uő: Consociational Democracy. World Politics, vol. 21 (1969), no. 2, 212-214.; uő: The Puzzle of Indian Democracy. A Consociational Interpretation. American Political Science Review, vol. 90. (1996) 259. és Enyedi Zsolt: i. m. 57-59. Lásd még Horia C. Matei et al. (eds.): Enciclopedia Statelor Lumii. Ed. a VII-a. Bucureşti, Editura Meronia, 2001. (az Uruguay - Istoria. címszó alatt); Eyewitness World Atlas. The Essential Encyclopedic Reference Atlas. Dorling Kindersley Multimedia - Avanquest Software Publishing, London - Saint Ives, 2001. (az Uruguay - Chronology címszó alatt) és Taif Agreement [http://en.wikipedia.org/wiki/Taif_Agreement], letöltve 2008. február 3-án.)
|
PC |
150 385 |
2,94% |
- |
(jelenleg nem rendelkezik semmilyen státussal)e) |
|
PIN |
124 829 |
2,44% |
- |
(nem rendelkezik semmilyen státussal)f) |
|
PNŢCD |
71 001 |
1,39% |
- |
Európai Néppárt (tag - 2007-től) |
|
PR |
58 903 |
1,15% |
- |
- |
|
PAS |
28 484 |
0,56% |
- |
Európai Baloldal Pártja (alapító tag - 2004. május 8-tól) |
|
PV/R/ |
19 820 |
0,39% |
- |
Európai Zöld Párt (tag - 2007-től) |
|
ÖSSZESEN |
5 122 226 |
100,00% |
35 |
|
a)
A pártokat eredményeik csökkenő sorrendjében tüntettük fel.
b)
Az oszlopban az szerepel, hogy a romániai pártok mikor lettek az egyes "europártok" teljes jogú
vagy éppenséggel alapító tagjai. c)
A párt 2007. december 15-én Rendkívüli Országos Értekezletet tartott, amelyen a szervezet nevének Liberális-Demokrata Pártra (Partidul Democrat-Liberal, a továbbiakban PD-L) való változtatásáról és ezzel egy időben a PD és PLD összevonásáról határozott. Convenţia Naţională Extraordinară a PD. [http:// www.pd.ro/index.php?option=com_content&task=view&id=257&Itemid=1], letöltve 2008. január 7-én.
d)
A PRM múlt év január 9-e és november 14-e között alapító tagja volt az Identitás, Hagyomány, Szuverenitás elnevezésű olyan szélsőjobboldali pártokat tömörítő csoportnak mint a Jean-Marie Le Pen vezette francia Front National, a Jörg Haider nevével "fémjelzett" Freiheitliche Partei Österreichs és a Vlaams Belang. A csoport a PRM kilépése következtében de jure feloszlott, mert tagjainak száma 20 alá csökkent.
e)
A párt a választások előtt a Liberálisok és Demokraták Szövetsége Európáért EP-frakció tagjaként működött, bár a parlamenti csoport hátterét szolgáltató két "europárt" egyikének, sem a Európai Liberális Demokrata és Reform Pártnak, sem a centrista Európai Demokrata Pártnak nem volt a tagja.
f)
A PIN a Függetlenség/Demokrácia Csoport nevet viselő, euroszkeptikusok alkotta EP-frakcióval tart fenn jó kapcsolatot.
Források: Proces verbal privind centralizarea voturilor şi atribuirea mandatelor la alegerile pentru Parlamentul European, 25 noiembrie 2007. Biroul Electoral Central, Bucureşti, 2007. [http://www. bec2007pe.ro/documente/REZULTATE FINALE.pdf], letöltve 2007. november 30-án. Partidul Conservator - o foarte sumară istorie a ideilor. [http://www.partidulconservator.ro/ro/articole/Istoric], letöltve 2007. november 6-án; European Liberal Democrat and Reform Party. [http://en.wikipedia.org/wiki/ European_Liberal_Democrat_and_Reform_Party] és European Democratic Party. [http://en.wikipedia. org/wiki/European_Democratic_Party], mindkettő letöltve 2008. január 8-án; Istoric P. D. [http://www. pd.ro/index.php?option=com_content&task= view&id=36&Itemid=26&limit=1&limitstart=0], letöltve 2008. január 7-én; Partidul Social Democrat. Prezentare. [http://www.psd.ro/oldpsd/index.php?t=2&l=ro] és European People's Party. [http://en.wikipedia.org/wiki/European_People%27s_Party]; PNL - Organizaţii partenere: Partidul European Liberal Democrat şi Reformist / European Liberal Democrat and Reform Party (ELDR). [http://www.pnl.ro/?id=eldr]; Nicolae Trache: O nouă identitate. [http://www.png. ro/editorial/292]; Identity, Tradition, Sovereignty. [http://en.wikipedia.org/wiki/Identity,_Tradition,_ Sovereignty]ésBuricullumii.Ziua/miercuri,8august2007/[http://www.ziua.net/prt.php?id=224972&data= 2007-08-08]; Claudiu Săftoiu: Europarlamentarele - testul (de)maturizării. Jurnalul Naţional (10 august 2007) [http://www.jurnalul.ro/articole/99393/europarlamentarele-%E2%80%93-testul-dematurizarii] és Independence/Democracy Group in the European Parliament. [http://indemgroup.eu/16/], letöltve mind 2008. január 8-án; Partidul Alianţa Socialistă. [http://www.pasro.ro/comunicatearticol.php?ID=1] és Some remarks concerning the creation of the Party of the European Left. [http://www.european-left.org/english/ about_the_el/introduction/], valamint Partidul Verde din România. [http://www.partidulverde.ro/index. php?option=com_content&task=view&id=20&Itemid=26] és European Green Party. [http://www. europeangreens.org/cms/default/rubrik/9/ 9209.member_parties.htm], letöltve mind 2008. január 7-én.
5. táblázat. A 2007. november 25-i európai parlamenti választások összesített eredménye a 2007. évi közvélemény-kutatások tükrében
|
Párt vagy |
Közvélemény-kutatási előrejelzések (%) |
|
|
Százalékaránya) (%) |
|
független jelölta) |
Institutul PROb) |
CURS (júl. 5-15.)b) |
IMASb) |
|
|
január |
február |
május |
március 10-16. |
aug. 8-15. |
|
PD |
20,8 |
19,7 |
42 |
40 |
39c) |
42 |
28,82 |
|
PSD |
23,9 |
28,6 |
22,9 |
21 |
20 |
17 |
23,12 |
|
PNL |
20,9 |
19,4 |
12,3 |
13 |
- |
12 |
13,45 |
|
PLD |
- |
3,3 |
3,7 |
4 |
4 |
3 |
7,79 |
|
RMDSZ |
5,7 |
6,9 |
5,4 |
5 |
6 |
4 |
5,52 |
|
PNG |
10,5 |
8 |
4,8 |
6 |
18 |
13 |
4,86 |
|
PRM |
9,7 |
9 |
5,2 |
5 |
9 |
5 |
4,15 |
|
PC |
- |
1,8 |
1,3 |
2 |
2 |
1 |
2,94 |
|
PIN |
- |
1,5 |
0,9 |
1 |
1 |
2 |
2,44 |
|
PNŢCD |
- |
1,3 |
1,6 |
2 |
1 |
- |
1,39 |
|
Más pártok |
8,5d) |
0,5 |
- |
1 |
- |
1 |
5,55e) |
|
ÖSSZESEN |
100 |
100 |
100 |
100 |
100 |
100 |
100,00 |
a)
A pártokat eredményeik csökkenő sorrendjében tüntettük fel.
b)
Az intézetek az "érvényes" válaszok százalékarányait közölték, vagyis újraszámolták a százalékarányokat a "nem tudom"/"nem válaszol" (NT/NV) feleletek kiszűrésével.
c)
Az adat a D.A. Szövetségre vonatkozik. Noha a PD és a PNL közötti ellentétek már korábban megmutatkoztak, és egyre élesebbé váltak, a PD-t kizáró április 3-i kormányátalakításig nem indokolatlan a pártszövetség egységesként való kezelése. (Vö. Presa despre noul guvern. HotNews.ro,
8. évf., 93. sz. (2007. április 4.) [http://www.hotnews.ro/articol_69081-Presa-despre-noul-guvern. htm], letöltve 2007. november 21-én.)
d)
A forrás csak az összeget tünteti fel.
e)
Tőkés László független jelölt, valamint a PR, a PAS és a PV/R/ összesített eredménye.
Források: A választási eredmények tekintetében lásd Proces verbal privind centralizarea voturilor şi atribuirea mandatelor la alegerile pentru Parlamentul European, 25 noiembrie 2007. Biroul Electoral Central, Bucureşti, 2007. [http://www.bec2007pe.ro/documente/REZULTATE FINALE.pdf], letöltve 2007. november 30-án, az előrejelzésekében pedig Barometrul opiniei politice. August 2007. Institutul de Marketing şi Sondaje. Bucureşti, 2007. 3. [http://www.imas-inc. com/BOP%20August%202007.pdf]; Barometrul opiniei politice. Martie 2007. Institutul de Marketing şi Sondaje. Bucureşti, 2007. 3. [http://arhivamedia.hotnews.ro/arhiva_avt/3741.pdf]; Nationwide Public Opinion Poll on Social and Political Topics. July 2007. Center for Urban and Regional Sociology, Bucharest, 2007. 7. [http://www.curs.ro/images/pdf/poll%20july%202007%20english.pdf], letöltve mind 2008. február 10-én. Polis 2 - Februarie 2007. Principalele rezultate. Institutul Pro - Data Media, Bucureşti, 2007. 13. [http://www.institutulpro.ro/analize/doc/Grafice%20 POLIS%20februarie%202007.pdf]; Polis 4 - 2007. Principalele rezultate. Institutul Pro - Data Media, Bucureşti, 2007. 14. Polis 4 - 2007. és Principalele rezultate. Institutul Pro - Data Media, Bucureşti, 2007. 14. [http://www.institutulpro.ro/analize/doc/Grafice%20POLIS%20mai%202007. pdf], utóbbiak letöltve 2007. február 9-én.
6. táblázat. Az Európai Parlamentben képviseletet szerzett pártok eredményei
|
Megyea) |
PDb) |
PNLb) |
PSDb) |
RMDSZb) |
PLDb) |
Tőkés Lászlób) |
Bejutottak (összesen a megyében) |
Összesen a megyében |
|
Fehér |
36 009 |
15 349 |
15 619 |
4 240 |
5 707 |
1 260 |
78 184 |
94 420 |
|
Arad |
36 081 |
10 227 |
15 446 |
8 360 |
8 762 |
2 294 |
81 170 |
100 455 |
|
Argeş |
33 321 |
16 306 |
46 134 |
225 |
11 206 |
477 |
107 669 |
136 560 |
|
Bákó |
46 664 |
26 122 |
49 564 |
986 |
12 754 |
1 430 |
137 520 |
166 943 |
|
Bihar |
50 504 |
22 299 |
20 938 |
30 069 |
4 590 |
16 609 |
145 009 |
167 358 |
|
Beszterce-Naszód |
25 069 |
8 066 |
18 186 |
4 756 |
4 514 |
1 201 |
61 792 |
76 405 |
|
Botoşani |
21 059 |
23 539 |
33 297 |
263 |
8 340 |
862 |
87 360 |
107 945 |
|
Brassó |
47 152 |
18 455 |
22 859 |
11 192 |
10 181 |
2 876 |
112 715 |
139 536 |
|
Brăila |
21 062 |
8 641 |
23 718 |
226 |
7 923 |
356 |
61 926 |
80 791 |
|
Buzău |
41 911 |
16 383 |
28 785 |
252 |
6 382 |
450 |
94 163 |
116 676 |
|
Krassó-Szörény |
41 209 |
10 253 |
15 179 |
1 014 |
3 412 |
343 |
71 410 |
87 033 |
|
Călăraşi |
19 306 |
15 490 |
13 898 |
147 |
2 259 |
499 |
51 599 |
66 798 |
|
Kolozs |
56 756 |
17 187 |
25 193 |
23 843 |
7 882 |
10 538 |
141 399 |
167 812 |
|
Konstanca |
57 673 |
24 444 |
42 422 |
349 |
21 062 |
738 |
146 688 |
175 446 |
|
Kovászna |
4 764 |
1 428 |
3 842 |
20 091 |
756 |
32 028 |
62 909 |
67 051 |
|
Dâmboviţa |
28 754 |
9 992 |
40 525 |
248 |
24 249 |
378 |
104 146 |
125 771 |
|
Dolj |
53 754 |
19 239 |
53 514 |
506 |
9 947 |
474 |
137 434 |
170 489 |
|
Galac |
37 973 |
17 225 |
40 756 |
524 |
9 111 |
655 |
106244 |
148 613 |
|
Giurgiu |
20 100 |
15 551 |
14 882 |
87 |
6 588 |
342 |
57 550 |
65 071 |
|
Gorj |
24 758 |
9 489 |
21 184 |
412 |
4 728 |
240 |
60 811 |
80 501 |
|
Hargita |
3 631 |
1 408 |
3 859 |
50 469 |
1 125 |
49 680 |
110 172 |
115 033 |
|
Hunyad |
38 182 |
21 582 |
24 965 |
5 179 |
8 994 |
878 |
99 780 |
121 971 |
|
Ialomiţa |
20 038 |
7 892 |
17 604 |
158 |
3 893 |
254 |
49 839 |
61 109 |
|
Iaşi |
52 083 |
31 553 |
57 480 |
334 |
19 976 |
1 475 |
162 901 |
194 045 |
|
Ilfov |
23 039 |
11 619 |
11 005 |
109 |
2 981 |
245 |
48 998 |
63 128 |
|
Máramaros |
27 809 |
16 451 |
22 419 |
7 643 |
8 941 |
3 429 |
86 692 |
108 809 |
|
Mehedinţi |
24 048 |
17 565 |
14 872 |
352 |
4 195 |
181 |
61 213 |
74 832 |
|
Maros |
24 815 |
10 943 |
18 748 |
55 179 |
4 866 |
20 006 |
134 557 |
158 429 |
|
Neamţ |
30 160 |
19 408 |
41 078 |
195 |
28 334 |
1 048 |
120 223 |
141 223 |
|
Olt |
40 973 |
14 913 |
49 717 |
339 |
4 804 |
289 |
111 035 |
129 855 |
|
Prahova |
57 685 |
19 406 |
32 507 |
579 |
11 671 |
729 |
122 577 |
166 431 |
|
Szatmár |
17 371 |
9 493 |
15 321 |
24 663 |
3 034 |
9 143 |
79 025 |
87 657 |
|
Szilágy |
15 268 |
7 319 |
14 492 |
16 408 |
2 660 |
4 900 |
61 047 |
71 325 |
|
Szeben |
35 987 |
12 725 |
18 698 |
2 786 |
12 341 |
882 |
83 419 |
99 614 |
|
Suceava |
36 167 |
21 992 |
50 815 |
576 |
30 327 |
969 |
140 846 |
169 002 |
|
Teleorman |
25 570 |
27 083 |
44 157 |
288 |
5 898 |
386 |
103 382 |
123 295 |
|
Temes |
50 879 |
15 922 |
22 931 |
6 732 |
11 911 |
2 214 |
110 589 |
137 721 |
|
Tulcea |
19 827 |
7 410 |
12 161 |
136 |
5 122 |
224 |
44 880 |
54 649 |
|
Vaslui |
23 952 |
18 329 |
40 124 |
167 |
5 832 |
1 000 |
89 404 |
109 743 |
|
Vâlcea |
24 128 |
19 695 |
27 241 |
333 |
7 922 |
358 |
79 677 |
100 112 |
|
Vrancea |
26 902 |
18 870 |
35 694 |
155 |
5 840 |
841 |
88 302 |
103 570 |
|
Bukarest municípium |
153 712 |
51 596 |
62 189 |
2 359 |
37 881 |
3 352 |
311 089 |
388 999 |
|
ÖSSZESEN |
1 476 105 |
688 859 |
1 184 018 |
282 929 |
398 901 |
176 533 |
4 207 345 |
5 122 226 |
a)
A megyéket a román nyelv betűrendje szerint tüntettük fel.
b)
A pártokat és a jelölteket abban a sorrendben tüntettük fel, amelyben a hivatalos jegyzőkönyvben szerepelnek.
Források: Proces-verbal privind centralizarea voturilor la alegerile pentru Parlamentul European, 25 noiembrie 2007. Biroul Electoral Central, Bucureşti, 2007. [http://www.bec2007pe.ro/documente/ REZULTATE FINALE JUDETE SI BUCURESTI.pdf (sic!)], letöltve 2007. november 30-án.
7. táblázat. Az Európai Parlamentben képviseletet szerzett pártok eredményei és a városi lakosság részaránya megyei bontásban (százalékban kifejezve)
|
Megyea) |
PDb) (%) |
PNLb) (%) |
PSDb) (%) |
RMDSZb) (%) |
PLDb) (%) |
Tőkés Lászlób) (%) |
Bejutottak (a megyében - %) |
A városi lakosság részaránya (%) |
|
Fehér |
38,14 |
16,26 |
16,54 |
4,49 |
6,04 |
1,33 |
82,80 |
57,44 |
|
Arad |
35,92 |
10,18 |
15,38 |
8,32 |
8,72 |
2,28 |
80,80 |
50,68 |
|
Argeş |
24,40 |
11,94 |
33,78 |
0,16 |
8,21 |
0,35 |
78,84 |
45,42 |
|
Bákó |
27,95 |
15,65 |
29,69 |
0,59 |
7,64 |
0,86 |
82,38 |
46,20 |
|
Bihar |
30,18 |
13,32 |
12,51 |
17,97 |
2,74 |
9,92 |
86,65 |
47,88 |
|
Beszterce-Naszód |
32,81 |
10,56 |
23,80 |
6,22 |
5,91 |
1,57 |
80,87 |
36,26 |
|
Botoşani |
19,51 |
21,81 |
30,85 |
0,24 |
7,73 |
0,80 |
80,93 |
36,66 |
|
Brassó |
33,79 |
13,23 |
16,38 |
8,02 |
7,30 |
2,06 |
80,78 |
73,96 |
|
Brăila |
26,07 |
10,70 |
29,36 |
0,28 |
9,81 |
0,44 |
76,65 |
64,11 |
|
Buzău |
35,92 |
14,04 |
24,67 |
0,22 |
5,47 |
0,39 |
80,70 |
38,66 |
|
Krassó-Szörény |
47,35 |
11,78 |
17,44 |
1,17 |
3,92 |
0,39 |
82,05 |
54,88 |
|
Călăraşi |
28,90 |
23,19 |
20,81 |
0,22 |
3,38 |
0,75 |
77,25 |
37,04 |
|
Kolozs |
33,82 |
10,24 |
15,01 |
14,21 |
4,70 |
6,28 |
84,26 |
67,21 |
|
Konstanca |
32,87 |
13,93 |
24,18 |
0,20 |
12,00 |
0,42 |
83,61 |
70,20 |
|
Kovászna |
7,11 |
2,13 |
5,73 |
29,96 |
1,13 |
47,77 |
93,82 |
50,25 |
|
Dâmboviţa |
22,86 |
7,94 |
32,22 |
0,20 |
19,28 |
0,30 |
82,81 |
29,38 |
|
Dolj |
31,53 |
11,28 |
31,39 |
0,30 |
5,83 |
0,28 |
80,61 |
50,15 |
|
Galac |
25,55 |
11,59 |
27,42 |
0,35 |
6,13 |
0,44 |
71,49 |
56,79 |
|
Giurgiu |
30,89 |
23,90 |
22,87 |
0,13 |
10,12 |
0,53 |
88,44 |
29,78 |
|
Gorj |
30,75 |
11,79 |
26,32 |
0,51 |
5,87 |
0,30 |
75,54 |
41,98 |
|
Hargita |
3,16 |
1,22 |
3,35 |
43,87 |
0,98 |
43,19 |
95,77 |
44,13 |
|
Hunyad |
31,30 |
17,69 |
20,47 |
4,25 |
7,37 |
0,72 |
81,81 |
75,93 |
|
Ialomiţa |
32,79 |
12,91 |
28,81 |
0,26 |
6,37 |
0,42 |
81,56 |
38,95 |
|
Iaşi |
26,84 |
16,26 |
29,62 |
0,17 |
10,29 |
0,76 |
83,95 |
47,45 |
|
Ilfov |
36,50 |
18,41 |
17,43 |
0,17 |
4,72 |
0,39 |
77,62 |
10,18 |
|
Máramaros |
25,56 |
15,12 |
20,60 |
7,02 |
8,22 |
3,15 |
79,67 |
52,57 |
|
Mehedinţi |
32,14 |
23,47 |
19,87 |
0,47 |
5,61 |
0,24 |
81,80 |
46,16 |
|
Maros |
15,66 |
6,91 |
11,83 |
34,83 |
3,07 |
12,63 |
84,93 |
48,78 |
|
Neamţ |
21,36 |
13,74 |
29,09 |
0,14 |
20,06 |
0,74 |
85,13 |
36,63 |
|
Olt |
31,55 |
11,48 |
38,29 |
0,26 |
3,70 |
0,22 |
85,51 |
38,11 |
|
Prahova |
34,66 |
11,66 |
19,53 |
0,35 |
7,01 |
0,44 |
73,65 |
50,65 |
|
Szatmár |
19,82 |
10,83 |
17,48 |
28,14 |
3,46 |
10,43 |
90,15 |
44,03 |
|
Szilágy |
21,41 |
10,26 |
20,32 |
23,00 |
3,73 |
6,87 |
85,59 |
39,72 |
|
Szeben |
36,13 |
12,77 |
18,77 |
2,80 |
12,39 |
0,89 |
83,74 |
65,77 |
|
Suceava |
21,40 |
13,01 |
30,07 |
0,34 |
17,94 |
0,57 |
83,34 |
33,30 |
|
Teleorman |
20,74 |
21,97 |
35,81 |
0,23 |
4,78 |
0,31 |
83,85 |
32,09 |
|
Temes |
36,94 |
11,56 |
16,65 |
4,89 |
8,65 |
1,61 |
80,30 |
60,14 |
|
Tulcea |
36,28 |
13,56 |
22,25 |
0,25 |
9,37 |
0,41 |
82,12 |
47,77 |
|
Vaslui |
21,83 |
16,70 |
36,56 |
0,15 |
5,31 |
0,91 |
81,47 |
39,28 |
|
Vâlcea |
24,10 |
19,67 |
27,21 |
0,33 |
7,91 |
0,36 |
79,59 |
39,11 |
|
Vrancea |
25,97 |
18,22 |
34,46 |
0,15 |
5,64 |
0,81 |
85,26 |
38,40 |
|
Bukarest municípium |
39,51 |
13,26 |
15,99 |
0,61 |
9,74 |
0,86 |
79,97 |
100,00 |
|
ÖSSZESEN |
28,82 |
13,45 |
23,12 |
5,52 |
7,79 |
3,45 |
82,14 |
52,70 |
a)
A megyéket a román nyelv betűrendje szerint tüntettük fel.
b)
A pártokat és a jelölteket abban a sorrendben tüntettük fel, amelyben a hivatalos jegyzőkönyvben szerepelnek.
Források: Proces-verbal privind centralizarea voturilor la alegerile pentru Parlamentul European, 25 noiembrie 2007. Biroul Electoral Central, Bucureşti, 2007. [http://www.bec2007pe.ro/ documente/REZULTATE FINALE JUDETE SI BUCURESTI.pdf (sic!)], letöltve 2007. november 30-án és Recensământul populaţiei şi al locuinţelor 2002. Rezultate preliminare - Iulie 2002. Institutul Naţional de Statistică, Bucureşti, 2002. 2-3.
8. táblázat. Az Európai Parlamentben nem képviselt pártok eredményei
|
Megyea) |
PRMb) |
PCb) |
PNŢCDb) |
PRb) |
PVb) |
PINb) |
PNG-CDb) |
PASb) |
"Kiesettek" (összesen a megyében) |
Összesen a megyében |
|
Fehér |
3 465 |
2 073 |
1 905 |
1 359 |
321 |
2 451 |
4 161 |
501 |
16 236 |
94 420 |
|
Arad |
4 509 |
3 853 |
1 830 |
1 432 |
365 |
1 969 |
4 890 |
437 |
19 285 |
100 455 |
|
Argeş |
6 954 |
4 711 |
1 659 |
1 879 |
400 |
3 064 |
9 556 |
668 |
28 891 |
136 560 |
|
Bákó |
7 185 |
5 877 |
1 336 |
1 748 |
556 |
3 966 |
7 354 |
1 401 |
29 423 |
166 943 |
|
Bihar |
6 673 |
3 040 |
1 500 |
1 208 |
446 |
2 768 |
5 971 |
743 |
22 349 |
167 358 |
|
Beszterce-Naszód |
3 889 |
2 248 |
1 548 |
1 649 |
209 |
2 094 |
2 485 |
491 |
14 613 |
76 405 |
|
Botoşani |
6 249 |
3 295 |
860 |
922 |
274 |
1 727 |
6 058 |
1 200 |
20 585 |
107 945 |
|
Brassó |
5 237 |
2 965 |
2 381 |
1 588 |
769 |
4 186 |
9 046 |
649 |
26 821 |
139 536 |
|
Brăila |
4 029 |
3 452 |
773 |
1 071 |
392 |
3 538 |
5 192 |
418 |
18 865 |
80 791 |
|
Buzău |
4 813 |
3 445 |
1 122 |
2 043 |
463 |
3 568 |
6 434 |
625 |
22 513 |
116 676 |
|
Krassó-Szörény |
2 878 |
2 531 |
1 818 |
640 |
436 |
1 579 |
5 496 |
245 |
15 623 |
87 033 |
|
Călăraşi |
2 729 |
3 065 |
2 029 |
1 755 |
226 |
1 256 |
3 644 |
495 |
15 199 |
66 798 |
|
Kolozs |
7 828 |
2 524 |
2 438 |
1 859 |
685 |
5 662 |
4 483 |
934 |
26 413 |
167 812 |
|
Konstanca |
6 199 |
2 369 |
2 454 |
2 211 |
762 |
5 869 |
8 276 |
618 |
28 758 |
175 446 |
|
Kovászna |
1 346 |
646 |
171 |
358 |
122 |
429 |
586 |
484 |
4 142 |
67 051 |
|
Dâmboviţa |
4 209 |
2 395 |
1 203 |
3 113 |
605 |
2 160 |
7 494 |
446 |
21 625 |
125 771 |
|
Dolj |
8 573 |
6 124 |
3 063 |
2 407 |
518 |
3 261 |
8 117 |
992 |
33 055 |
170 489 |
|
Galac |
4 617 |
18 054 |
1 280 |
3 065 |
1 536 |
4 451 |
8 578 |
788 |
42 369 |
148 613 |
|
Giurgiu |
1 722 |
586 |
769 |
491 |
133 |
918 |
2 425 |
477 |
7 521 |
65 071 |
|
Gorj |
6 951 |
2 322 |
820 |
1 610 |
214 |
1 424 |
5 939 |
410 |
19 690 |
80 501 |
|
Hargita |
1 297 |
514 |
188 |
1 093 |
119 |
458 |
472 |
720 |
4 861 |
115 033 |
|
Hunyad |
6 136 |
5 948 |
1 243 |
639 |
394 |
2 210 |
4 815 |
806 |
22 191 |
121 971 |
|
Ialomiţa |
2 282 |
1 322 |
757 |
890 |
212 |
1 401 |
4 065 |
341 |
11 270 |
61 109 |
|
Iaşi |
7 876 |
4 177 |
1 526 |
1 140 |
658 |
5 209 |
8 835 |
1 723 |
31 144 |
194 045 |
|
Ilfov |
2 352 |
1 595 |
550 |
1 398 |
207 |
1 112 |
6 659 |
257 |
14 130 |
63 128 |
|
Máramaros |
5 245 |
3 084 |
2 534 |
1 088 |
286 |
3 472 |
5 936 |
472 |
22 117 |
108 809 |
|
Mehedinţi |
3 274 |
1 864 |
812 |
1 130 |
173 |
2 400 |
3 591 |
375 |
13 619 |
74 832 |
|
Maros |
8 661 |
2 703 |
1 003 |
2 813 |
373 |
2 689 |
4 822 |
808 |
23 872 |
158 429 |
|
Neamţ |
6 633 |
2 787 |
978 |
1 396 |
451 |
2 750 |
4 907 |
1 098 |
21 000 |
141 223 |
|
Olt |
4 583 |
1 922 |
1 246 |
1 668 |
267 |
3 287 |
5 330 |
517 |
18 820 |
129 855 |
|
Prahova |
6 455 |
14 740 |
2 109 |
2 031 |
824 |
4 061 |
13 067 |
567 |
43 854 |
166 431 |
|
Szatmár |
2 130 |
667 |
1 000 |
388 |
175 |
1 132 |
2 742 |
398 |
8 632 |
87 657 |
|
Szilágy |
2 613 |
1 815 |
1 600 |
484 |
153 |
1 378 |
1 817 |
418 |
10 278 |
71 325 |
|
Szeben |
3 154 |
2 211 |
2 269 |
1 165 |
565 |
2 907 |
3 458 |
466 |
16 195 |
99 614 |
|
Suceava |
6 933 |
2 947 |
2 119 |
1 707 |
489 |
2 683 |
10 433 |
845 |
28 156 |
169 002 |
|
Teleorman |
4 913 |
4 032 |
968 |
1 487 |
314 |
1 796 |
5 876 |
527 |
19 913 |
123 295 |
|
Temes |
5 486 |
3 931 |
6 447 |
713 |
742 |
4 538 |
4 832 |
443 |
27 132 |
137 721 |
|
Tulcea |
2 697 |
672 |
677 |
544 |
239 |
1 712 |
2 980 |
248 |
9 769 |
54 649 |
|
Vaslui |
6 578 |
2 621 |
688 |
928 |
268 |
1 864 |
6 190 |
1 202 |
20 339 |
109 743 |
|
Vâlcea |
4 723 |
4 995 |
1 340 |
601 |
499 |
3 334 |
4 023 |
920 |
20 435 |
100 112 |
|
Vrancea |
3 089 |
1 566 |
768 |
1 167 |
242 |
2 504 |
4 906 |
1 026 |
15 268 |
103 570 |
|
Bukarest municípium |
15 431 |
8 697 |
9 220 |
2 025 |
2 738 |
15 592 |
22 922 |
1 285 |
77 910 |
388 999 |
|
ÖSSZESEN |
212 596 |
150 385 |
71 001 |
58 903 |
19 820 |
124 829 |
248 863 |
28 484 |
914 881 |
5 122 226 |
a)
A megyéket a román nyelv betűrendje szerint tüntettük fel.
b)
A pártokat és a jelölteket abban a sorrendben tüntettük fel, amelyben a hivatalos jegyzőkönyvben szerepelnek.
Források: Proces-verbal privind centralizarea voturilor la alegerile pentru Parlamentul European, 25 noiembrie 2007. Biroul Electoral Central, Bucureşti, 2007. [http://www.bec2007pe.ro/documente/ REZULTATE FINALE JUDETE SI BUCURESTI.pdf (sic!)], letöltve 2007. november 30-án.
9. táblázat. Az Európai Parlamentben nem képviselt pártok eredményei és a városi lakosság részaránya megyei bontásban (százalékban kifejezve)
|
Megyea) |
PRMb) (%) |
PCb) (%) |
PNŢCDb) (%) |
PRb) (%) |
PVb) (%) |
PINb) (%) |
PNG-CDb)(%) |
PASb) (%) |
Kiesettek (a megyében - %) |
A városi lakosság részaránya (%) |
|
Fehér |
3,67% |
2,20% |
2,02% |
1,44% |
0,34% |
2,60% |
4,41% |
0,53% |
17,20% |
57,44 |
|
Arad |
4,49% |
3,84% |
1,82% |
1,43% |
0,36% |
1,96% |
4,87% |
0,44% |
19,20% |
50,68 |
|
Argeş |
5,09% |
3,45% |
1,21% |
1,38% |
0,29% |
2,24% |
7,00% |
0,49% |
21,16% |
45,42 |
|
Bákó |
4,30% |
3,52% |
0,80% |
1,05% |
0,33% |
2,38% |
4,41% |
0,84% |
17,62% |
46,20 |
|
Bihar |
3,99% |
1,82% |
0,90% |
0,72% |
0,27% |
1,65% |
3,57% |
0,44% |
13,35% |
47,88 |
|
Beszterce-Naszód |
5,09% |
2,94% |
2,03% |
2,16% |
0,27% |
2,74% |
3,25% |
0,64% |
19,13% |
36,26 |
|
Botoşani |
5,79% |
3,05% |
0,80% |
0,85% |
0,25% |
1,60% |
5,61% |
1,11% |
19,07% |
36,66 |
|
Brassó |
3,75% |
2,12% |
1,71% |
1,14% |
0,55% |
3,00% |
6,48% |
0,47% |
19,22% |
73,96 |
|
Brăila |
4,99% |
4,27% |
0,96% |
1,33% |
0,49% |
4,38% |
6,43% |
0,52% |
23,35% |
64,11 |
|
Buzău |
4,13% |
2,95% |
0,96% |
1,75% |
0,40% |
3,06% |
5,51% |
0,54% |
19,30% |
38,66 |
|
Krassó-Szörény |
3,31% |
2,91% |
2,09% |
0,74% |
0,50% |
1,81% |
6,31% |
0,28% |
17,95% |
54,88 |
|
Călăraşi |
4,09% |
4,59% |
3,04% |
2,63% |
0,34% |
1,88% |
5,46% |
0,74% |
22,75% |
37,04 |
|
Kolozs |
4,66% |
1,50% |
1,45% |
1,11% |
0,41% |
3,37% |
2,67% |
0,56% |
15,74% |
67,21 |
|
Konstanca |
3,53% |
1,35% |
1,40% |
1,26% |
0,43% |
3,35% |
4,72% |
0,35% |
16,39% |
70,20 |
|
Kovászna |
2,01% |
0,96% |
0,26% |
0,53% |
0,18% |
0,64% |
0,87% |
0,72% |
6,18% |
50,25 |
|
Dâmboviţa |
3,35% |
1,90% |
0,96% |
2,48% |
0,48% |
1,72% |
5,96% |
0,35% |
17,19% |
29,38 |
|
Dolj |
5,03% |
3,59% |
1,80% |
1,41% |
0,30% |
1,91% |
4,76% |
0,58% |
19,39% |
50,15 |
|
Galac |
3,11% |
12,15% |
0,86% |
2,06% |
1,03% |
3,00% |
5,77% |
0,53% |
28,51% |
56,79 |
|
Giurgiu |
2,65% |
0,90% |
1,18% |
0,75% |
0,20% |
1,41% |
3,73% |
0,73% |
11,56% |
29,78 |
|
Gorj |
8,63% |
2,88% |
1,02% |
2,00% |
0,27% |
1,77% |
7,38% |
0,51% |
24,46% |
41,98 |
|
Hargita |
1,13% |
0,45% |
0,16% |
0,95% |
0,10% |
0,40% |
0,41% |
0,63% |
4,23% |
44,13 |
|
Hunyad |
5,03% |
4,88% |
1,02% |
0,52% |
0,32% |
1,81% |
3,95% |
0,66% |
18,19% |
75,93 |
|
Ialomiţa |
3,73% |
2,16% |
1,24% |
1,46% |
0,35% |
2,29% |
6,65% |
0,56% |
18,44% |
38,95 |
|
Iaşi |
4,06% |
2,15% |
0,79% |
0,59% |
0,34% |
2,68% |
4,55% |
0,89% |
16,05% |
47,45 |
|
Ilfov |
3,73% |
2,53% |
0,87% |
2,21% |
0,33% |
1,76% |
10,55% |
0,41% |
22,38% |
10,18 |
|
Máramaros |
4,82% |
2,83% |
2,33% |
1,00% |
0,26% |
3,19% |
5,46% |
0,43% |
20,33% |
52,57 |
|
Mehedinţi |
4,38% |
2,49% |
1,09% |
1,51% |
0,23% |
3,21% |
4,80% |
0,50% |
18,20% |
46,16 |
|
Maros |
5,47% |
1,71% |
0,63% |
1,78% |
0,24% |
1,70% |
3,04% |
0,51% |
15,07% |
48,78 |
|
Neamţ |
4,70% |
1,97% |
0,69% |
0,99% |
0,32% |
1,95% |
3,47% |
0,78% |
14,87% |
36,63 |
|
Olt |
3,53% |
1,48% |
0,96% |
1,28% |
0,21% |
2,53% |
4,10% |
0,40% |
14,49% |
38,11 |
|
Prahova |
3,88% |
8,86% |
1,27% |
1,22% |
0,50% |
2,44% |
7,85% |
0,34% |
26,35% |
50,65 |
|
Szatmár |
2,43% |
0,76% |
1,14% |
0,44% |
0,20% |
1,29% |
3,13% |
0,45% |
9,85% |
44,03 |
|
Szilágy |
3,66% |
2,54% |
2,24% |
0,68% |
0,21% |
1,93% |
2,55% |
0,59% |
14,41% |
39,72 |
|
Szeben |
3,17% |
2,22% |
2,28% |
1,17% |
0,57% |
2,92% |
3,47% |
0,47% |
16,26% |
65,77 |
|
Suceava |
4,10% |
1,74% |
1,25% |
1,01% |
0,29% |
1,59% |
6,17% |
0,50% |
16,66% |
33,30 |
|
Teleorman |
3,98% |
3,27% |
0,79% |
1,21% |
0,25% |
1,46% |
4,77% |
0,43% |
16,15% |
32,09 |
|
Temes |
3,98% |
2,85% |
4,68% |
0,52% |
0,54% |
3,30% |
3,51% |
0,32% |
19,70% |
60,14 |
|
Tulcea |
4,94% |
1,23% |
1,24% |
1,00% |
0,44% |
3,13% |
5,45% |
0,45% |
17,88% |
47,77 |
|
Vaslui |
5,99% |
2,39% |
0,63% |
0,85% |
0,24% |
1,70% |
5,64% |
1,10% |
18,53% |
39,28 |
|
Vâlcea |
4,72% |
4,99% |
1,34% |
0,60% |
0,50% |
3,33% |
4,02% |
0,92% |
20,41% |
39,11 |
|
Vrancea |
2,98% |
1,51% |
0,74% |
1,13% |
0,23% |
2,42% |
4,74% |
0,99% |
14,74% |
38,40 |
|
Bukarest municípium |
3,97% |
2,24% |
2,37% |
0,52% |
0,70% |
4,01% |
5,89% |
0,33% |
20,03% |
100,00 |
|
ÖSSZESEN |
4,15% |
2,94% |
1,39% |
1,15% |
0,39% |
2,44% |
4,86% |
0,56% |
17,86% |
52,70 |
a)
A megyéket a román nyelv betűrendje szerint tüntettük fel.
b)
A pártokat és a jelölteket abban a sorrendben tüntettük fel, amelyben a hivatalos jegyzőkönyvben szerepelnek.
Források: Proces-verbal privind centralizarea voturilor la alegerile pentru Parlamentul European, 25 noiembrie 2007. Biroul Electoral Central, Bucureşti, 2007. [http://www.bec2007pe.ro/ documente/REZULTATE FINALE JUDETE SI BUCURESTI.pdf (sic!)], letöltve 2007. november 30-án és Recensământul populaţiei şi al locuinţelor 2002. Rezultate preliminare - Iulie 2002. Institutul Naţional de Statistică, Bucureşti, 2002. 2-3.
10. táblázat. A fontosabb pártok eredményei - leíró statisztikai mutatók
|
Párt vagy független jelölta) |
Minimum (%) |
Maximum (%) |
Szórás |
|
Átlagok (%) |
|
|
Országos |
Erdélyi |
Regáti |
|
PD |
3,16 |
47,35 |
0,0843 |
28,38 |
28,07 |
28,57 |
|
PSD |
3,35 |
38,29 |
0,0815 |
23,11 |
15,77 |
27,64 |
|
PNL |
1,22 |
23,90 |
0,0498 |
13,72 |
10,88 |
15,47 |
|
PLD |
0,98 |
20,06 |
0,0423 |
7,34 |
5,52 |
8,46 |
|
RMDSZ |
0,13 |
43,87 |
0,1074 |
5,87 |
14,95 |
0,28 |
|
Tőkés László |
0,22 |
47,77 |
0,0987 |
3,91 |
9,44 |
0,51 |
|
PNG |
0,41 |
10,55 |
0,0182 |
4,84 |
3,62 |
5,59 |
|
PRM |
1,13 |
8,63 |
0,0121 |
4,14 |
3,79 |
4,36 |
|
PC |
0,45 |
12,15 |
0,0207 |
2,86 |
2,28 |
3,22 |
|
PIN |
0,40 |
4,38 |
0,0085 |
2,32 |
2,14 |
2,43 |
a)
A pártokat eredményeik csökkenő sorrendjében tüntettük fel.
Források: Proces-verbal privind centralizarea voturilor la alegerile pentru Parlamentul European, 25 noiembrie 2007. Biroul Electoral Central, Bucureşti, 2007. [http://www.bec2007pe.ro/documente/ REZULTATE FINALE JUDETE SI BUCURESTI.pdf (sic!)], letöltve 2007. november 30-án.
11. táblázat. A magyar kisebbség képviseletében induló erők szereplése a választásokon (1990-2007)
|
Szervezet/Jelölt |
1990 |
|
1992 |
|
1996 |
|
2000 |
|
2004 |
|
2007 |
|
|
N |
MSZSZa) |
N |
MSZSZa) |
N |
MSZSZa) |
N |
MSZSZa) |
N |
MSZSZa) |
N |
MSZSZa) |
|
Független Magyar Párt/Romániai Magyar Szabaddemokrata Pártb) |
2 578 |
0,26% |
- |
- |
14 333 |
1,73% |
3 510 |
0,47% |
- |
- |
- |
- |
|
Székely Ifjak Fórumac) |
- |
- |
- |
- |
2 142 |
0,26% |
- |
- |
- |
- |
- |
- |
|
Tőkés László (független jelölt) |
- |
- |
- |
- |
- |
- |
- |
- |
- |
- |
176 533 |
38,42% |
|
Romániai Magyar Demokrata Szövetség |
991 601 |
99,74% |
811 290 |
100% |
812 628 |
98,01% |
736 863 |
99,53% |
628 125 |
100% |
282 929 |
61,58% |
|
A magyar szervezetek (és jelöltek) szavazatai (MSZSZ)-ÖSZSZESEN |
994 179 |
100% |
811 290 |
100% |
829 103 |
100% |
740 373 |
100% |
628 125 |
100% |
459 462 |
100% |
a)
A magyar szervezetek (és jelöltek) által megszerzett szavazatok összegéhez (MSZSZ) viszonyított százalékarány.
b)
Az 1989 decemberében Marosvásárhelyt alakult szervezet nevét 1992. május 12-én Romániai Magyar Szabaddemokrata Pártra (a továbbiakban RMSZDP), majd mivel nem sikerült az új jogszabály értelmében is pártként bejegyeznie önmagát, 2004. február 12-én Romániai Magyar Szabadelvű Szövetségre (RMSZSZ) változtatta. (Lásd Bucur-Ioan Micu (coord.): Partide politice. Agenţia Naţională de Presă - Rompres, Bucureşti, 1993. 60-61. 162. és Kiss Kálmán ismét színre lép. Erdélyi Riport, III. évf., 34. sz. (2004) [http://www.riport.ro/mod.php?mod=userpage&page_id=128], letöltve 2006. február 7-én.)
c) Az 1990. február 8-án alakult szervezet kezdetben, akárcsak az RMSZDP, az RMDSZ támogatója volt, de később ellentétbe került a Szövetséggel és a Vatra Românească (VR) kulturálisnak álcázott, román nacionalista politikai mozgalom szatellitszervezete lett. (Lásd Udvardy Frigyes (szerk.). A romániai magyar kisebbség történeti kronológiája 1990-2003. [http://udvardy.adatbank. transindex.ro/ index.php], letöltve 2006. február 7-én.
Források: [http://www2.essex.ac.uk/elect/database/indexElections.asp], letöltve 2004. január 18-án; Proces verbal privind centralizarea voturilor şi atribuirea mandatelor la alegerile pentru Parlamentul European, 25 noiembrie 2007. Biroul Electoral Central, Bucureşti, 2007. [http://www. bec2007pe.ro/documente/REZULTATE FINALE.pdf], letöltve 2007. november 30-án; és Voturi valabil exprimate pe circumscripţii electorale şi partide. Biroul Electoral Central, Bucureşti[, 2004]. [http://www.bec2004.ro/documente/rezultate/ REZULTATE%20CAMERA%20DEPUTATILOR/ cd_votve_ce_p.pdf] 16., letöltve 2004. december 31-én.
1. ábra. A szavazói szándék alakulása a 2007. esztendő folyamán
(A százalékarányok az "érvényes" válaszokra vonatkoznak. Az intézet a versenytársaival ellentétben nem az európai parlamenti választásokra, hanem pusztán a "parlamenti választásokra" vonatkozó szavazói szándékra kérdezett rá, de dolgozatunk szempontjából ez aligha releváns különbség.)
Forrás: Politus 2007. Raport de cercetare INSOMAR, 8-13 noimebrie 2007. Institutul Naţional
pentru Studii de Opinie şi Marketing. Bucureşti, 2007. 8-9.
2. ábra. Románia európai parlamenti választási rendszerének arányossági profilja
(Az abszcisszatengelyen értelemszerűen az egyes pártok - százalékban kifejezett - szavazatarányait, az ordonátatengelyen pedig az esélyhányadost ábrázoltuk.)
Térképmelléklet*
Módszertani megjegyzés
A kartogramok - mind a választási részvételnek, mind a pártok eredményeinek az esetében - az ábrázolt mennyiségek arányait szemléltetik. Ez azt jelenti, hogy első lépésben a minimumok és maximumok közötti intervallumot egyenlő részekre - általában 4-7 ún. lépcsőre - kell osztani. Ez a konvenció azért alakult ki, mert négynél kevesebb szín túlságosan leegyszerűsíti, hétnél több szín pedig már áttekinthetetlenné teszi a térképeket. A jelen esetben öt lépcsőt használtunk, s ezekhez egy-egy színt, vagy árnyékolt, raszterezett mintát rendeltünk.1
1. sz. kartogram A részvételi arány megyei bontásban
* A Térképmelléklet Sajter Réka munkája. (Választásgeográfiai elemzését lásd bővebben Sajter Réka: Az európai parlamenti választások kartografikus elemzése. Szakdolgozat (BBTE PKKTK). Kézirat. Kolozsvár, 2008.)
1 Vö. Hubai László: Kis magyar választási földrajz. Rubicon, XIII. évf., 4-5. sz. (2002. április-május) 4-16. [http://www.vokscentrum.hu/tanulm/index.php?jny =hun&mszkod=300012&tankod=7&tanulmid=41], letöltve 2008. május 20-án. És uő: Magyarország XX. századi választási atlasza. 1990-2000. I. kötet. A választások története és politikai geográfiája. Budapest, 2001, Napvilág Kiadó. 13. (18. jegyzet)
2. sz. kartogram A Demokrata Párt eredményei megyei bontásban
3. sz. kartogram A Nemzeti Liberális Párt eredményei megyei bontásban 4. sz. kartogram A Demokrata Liberális Párt eredményei megyei bontásban
5. sz. kartogram A Szociáldemokrata Párt eredményei megyei bontásban
-
sz. kartogram Az Új Generáció Kereszténydemokrata Pártjának eredményei megyei bontásban
-
sz. kartogram A Nagy-Románia Párt eredményei megyei bontásban
8. sz. kartogram A Konzervatív Párt eredményei megyei bontásban
-
sz. kartogram A Nemzeti Kezdeményezés Pártjának eredményei megyei bontásban
-
sz. kartogram A Romániai Magyar Demokrata Szövetség eredményei
megyei bontásban
11. sz. kartogram Tőkés László (független jelölt) eredményei megyei bontásban

1 Bakk Miklós: Románia európai uniós csatlakozásának kronológiája. In Bodó Barna (szerk.): Romániai Magyar Évkönyv 2004-2005. Fundaţia Diaspora - Editura Marineasa, Timişoara, 2005. 701-702.
2 Lásd Európai Parlament. [http://www.euvonal.hu/index.php?op=tenyek_intezmenyrendszer&id=2], letöltve 2008. január 21-én.
3 Bár európai állampolgárok nem jelöltették magukat, öten éltek közülük passzív választójogukkal. Lásd Proces verbal privind centralizarea voturilor şi atribuirea mandatelor la alegerile pentru Parlamentul European, 25 noiembrie 2007. Biroul Electoral Central, Bucureşti, 2007. 1. [http://www.bec2007pe.ro/documente/ REZULTATE FINALE.pdf], letöltve 2007. november 30-án.
4 Georgios Anastassopoulos: Report on a proposal for an electoral procedure incorporating common principles for the election of Members of the European Parliament. [http://www. futurdeleurope.parlament.gv.at/sides/getDoc.do?type=REPORT&reference=A41998-0212&language=PL&mode=XML], letöltve 2008, február 6-án. (Szerzője 1984 és 1999 között volt az Európai Néppárt képviselője, s ebben a minőségében 1989 és 1999 között az Európai Parlament alelnöke is. Később Görögország UNESCOnagykövete lett.)
5 Fábián György: Európai parlamenti választások és választási rendszerek.
Politikatudományi Szemle, XIV. évf. (2005) 2. sz. 63-65.
6 Lásd Legi pentru euroalegeri. [http://www.euractiv.ro/uniunea-europeana/ articles%7CdisplayArticle/ articleID_7978/Legi-pentru-euroalegeri.html], letöltve 2008. január. 19-én; F[all] S[ándor]: Európai parlamenti választások - sürget a határidő. Krónika, VIII. évf., 172. sz. (2006. szeptember 6., szerda) 3. és Gazda Árpád: Szemben az Európai Unió irányelveivel. Krónika, VIII. évf., 171. sz. (2006. szeptember 5., kedd)
7 Legea nr. 33 din 16 ianuarie 2007 privind organizarea şi desfăşurarea alegerilor pentru Parlamentul European. Monitorul Oficial al României. Partea I. Legi, decrete, hotărâri şi alte acte. Anul XX, nr. 28, marţi 16 ianuarie 2007.
8 A jogszabály 18. cikkének 1. bekezdése.
9 EP-választások november 25-én. Krónika, IX. évf., 163. sz. (2007. augusztus 23., csütörtök) 3.
10 Lásd Presa despre noul guvern. HotNews.ro, 8. évf., 93. sz. (2007. április 4.) [http://www. hotnews.ro/articol_69081-Presa-despre-noul-guvern.htm], letöltve 2007. november 21-én.
11 A választópolgárok 44,45% járult az urnák elé, s közel háromnegyedük a (74,48%) az államelnök leváltása ellen voksolt. (Lásd Rezultatul referendumului naţional din data de 19 mai 2007 pentru demiterea Preşedintelui României. Biroul Electoral Central, Bucureşti, 2007, [http://www.becreferendum2007.ro/document3/ rezultat.pdf], letöltve 2008. február 10-én.)
12 A választásokkal egy időben, de külön szavazóhelyiségekben zajlott az az újabb referendum, amelyen az állampolgároknak az elnök kezdeményezte ún. egyéni kerületi, azaz kétfordulós többségi választási rendszer bevezetéséről kellett véleményt nyilvánítaniuk. (Ezt a rendszert emlegette még a hazai magyar sajtó is a tulajdonképpen románul is pontatlan kifejezéssel élve "uninominális szavazásként".) A sikeres kampány következtében a résztvevők túlnyomó többsége támogatta az új rendszert (81,36%), de mivel a szavazópolgárok alig több mint egynegyede járult (26,51%) az urnák elé, a népszavazás érvénytelen volt. (Lásd Comunicat privind rezultatele finale ale referendumului naţional din data de 25 noiembrie 2007 pentru introducerea votului uninominal pentru alegerea membrilor Parlamentului României. Biroul Electoral Central, Bucureşti, 2007. [http://www.becreferendum2007vu.ro/ documente/rezultatefinale0001.pdf], letöltve 2008. február 10-én.)
13 Tanulmányunkban, kevés kivétellel, a közvélemény-kutató intézetek honlapjain (majdnem állandó jelleggel) olvasható adatokat közöljük, hisz az elmúlt év folyamán nem egyszer megtörtént, hogy a román sajtó tévesen közölte némely felmérés eredményét, vagy pedig nem létező közvélemény-kutatásról számolt be. (Lásd például a Gallup Intézet ilyen tárgyban született sajtóközleményét. The Gallup Organization
14 Vö. Bakk Miklós - Szász Alpár Zoltán - Székely István Gergő: Parlamenti és elnökválasztás Romániában 2004 novemberében. Magyar Kisebbség, Új sorozat, IX. évf. (2004), 4. sz. 10. Az európai parlamenti választásokra vonatkozó mutatót a Központi Választási Iroda hivatalos adatai alapján számítottuk. Lásd Proces verbal privind centralizarea voturilor şi atribuirea mandatelor la alegerile pentru Parlamentul European, 25 noiembrie 2007. Biroul Electoral Central, Bucureşti, 2007. [http://www.bec2007pe. ro/documente/REZULTATE FINALE.pdf], letöltve 2007. november 30-án.
15 Lásd a román diaszpóra egyik honlapjának adatait: [http://www.rombel.com/ modules.php?name=News &file=article&sid=1217], letöltve 2008. január 6-án.
16 Vö. Jan-Erik Lane - Svante O. Ersson: Politics and Society in Western Europe. 3rd. ed. Sage Publications, London, 1994. 177.; Arend Lijphart: Unequal Participation: Democracy's Unresolved Dilemma. Presidential Address, American Political Science Association, 1996. American Political Science Review, vol. 91, no. 1 (March 1997) 5.; G. Bingham Powell, Jr.: Contemporary Democracies. Participation, Stability and Violence. Harvard University Press, Cambridge-MA, 1982. 13. és Richard Topf: Electoral Participation. In Hans-Dieter Klingemann - Dieter Fuchs (eds.): Citizens and the State. Oxford University Press, Oxford, 1995. /Beliefs in Government. Volume One./ 51.
17 A szavazni az illető körzetben "képtelenek" (pl. elhunytak, elköltözöttek és külföldön tartózkodók) regisztrációja miatt a részvételi arány alulbecsülésével, a voksolni valószínűleg nem voksolók (pl. hajléktalanok) nyilvántartásba vétele következtében pedig a mutató felülbecsülésével kell számolnunk. Vö. Ivor Crewe: Electoral Participation. In David Butler - Howard Penniman - Austin Ranney (eds.) Democracy at the Polls. American Enterprise Institute, Washington-DC, 1981. 232-233. (Romániában minden bizonnyal az első eset áll fenn, amint ez elhangzott Kiss Tamás: Az etnikai szavazás Romániában c. előadásában a IV. Torockói Politikatudományi Diáktáborban 2005. július 9-én.)
18 Ezek a szavazatok sajnos kimaradtak a hivatalos összesítő jegyzőkönyvből, de szerencsére a mandátumkiosztáskor számoltak velük. (Lásd Proces verbal privind centralizarea voturilor şi atribuirea mandatelor la alegerile pentru Parlamentul European, 25 noiembrie 2007. Biroul Electoral Central, Bucureşti, 2007. [http://www.bec2007pe. ro/documente/REZULTATE FINALE.pdf], letöltve 2007. november 30-án.)
19 Saját számítás a Központi Választási Iroda által kiállított jegyzőkönyvek alapján. Lásd Proces verbal privind centralizarea voturilor şi atribuirea mandatelor la alegerile pentru Parlamentul European, 25 noiembrie 2007. Biroul Electoral Central, Bucureşti, 2007. [http://www.bec2007pe.ro/documente/REZULTATE FINALE.pdf] és Procesverbal privind centralizarea voturilor la alegerile pentru Parlamentul European, 25 noiembrie 2007. Biroul Electoral Central, Bucureşti, 2007. [http://www.bec2007pe.ro/ documente/REZULTATE FINALE JUDETE SI BUCURESTI.pdf (sic!)], mindkettő letöltve 2007. november 30-án.
20 A többi adat forrása rendre: Prezenţa la vot peste media 'Estului'. [http://www.euractiv. ro/uniunea-europeana/articles%7CdisplayArticle/articleID_11940/Prezenta-la-vot-pestemedia-'Estului'.html], letöltve 2008. január 6-án; Richard S. Flickinger - Donley T. Studlar: The Disappearing Voters? Exploring Declining Turnout in Western European Elections. West European Politics, vol. 15, no. 2 (April 1992) 5.; Szász Alpár Zoltán: Comportament politic (I). Studiul comportamentului electoral. Universitatea "Babeş- Bolyai" Cluj-Napoca, Centrul de Formare Continuă şi Învăţământ la Distanţă, Cluj-Napoca, 2005. 73. és Bakk Miklós - Szász Alpár Zoltán - Székely István Gergő: i. m. 10.
21 Saját számítások a Központi Választási Iroda adatai alapján. Lásd Proces-verbal privind centralizarea voturilor la alegerile pentru Parlamentul European, 25 noiembrie 2007. Biroul Electoral Central, Bucureşti, 2007. [http://www.bec2007pe.ro/documente/REZULTATE FINALE JUDETE SI BUCURESTI.pdf (sic!)], letöltve 2007. november 30-án.
22 Ezt viszont nem lehet fenntartások nélkül kijelenteni, csak legfennebb hipotézisként megfogalmazni, mert mint minden területi aggregátumokból az egyéni választói viselkedésre vonatkozóan leszűrt konklúzió az ökológiai tévkövetkeztetés csapdáját rejti magában. [Lásd Vernon Bogdanor (szerk.): Politikatudományi enciklopédia. Osiris Kiadó, Budapest, 2001. /Osiris kézikönyvek./ (a politikai ökológia címszó alatt
- szerk. Frank Aarebrot) és Tóka Gábor: A szavazói magatartás. In Gallai Sándor
- Török Gábor (szerk.): Politika és politikatudomány. Aula Kiadó, Budapest, 2003. 459-460.] Hisz könnyen megtörténhet, hogy az iskolázottabb, módosabb városi szavazópolgárok továbbra is elmennek voksolni, és a városlakó kékgallérosok tömege marad távol, ám hogy pontosan mi az igazság, azt csak közvélemény-kutatások segítségével lehetne kideríteni.
23 Az urbanizációs szintet a dolgozat jellegéből fakadóan, s bizonyos mértékben az egyszerűség kedvéért is, a megyék városi lakosságának részarányával mértük.
24 Az aligha állítható ugyanis, hogy a hosszabb távú relevanciára igényt tartó politikai szereplők számának, akár csalókának is nevezhető, csökkenése bizton megismétlődik a 2008. esztendő helyhatósági és parlamenti választásainak alkalmával.
25 Bár - amint a továbbiakban látni fogjuk - két önmagát joggal kisebbséginek tekintő szervezet is indult a választásokon, több okból helyesebb ebben a dolgozatban a párt gyűjtőkategóriát használni. Először is a választásokon részt vevő szervezetek politikatudományi értelemben pártok (vö. Giovanni Sartori: Parties and Party Systems. A Framework for Analysis. 2nd ed. ECPR Press, Colchester, 2005. 56-57.), másodsorban pedig az érvényben levő választójogi törvénynek az európai parlamenti választások esetében is alkalmazandó 4. cikke 7. bekezdésének értelmében is pártként kezelendők. (Lásd Legea nr. 373 din 24 septembrie 2004 pentru alegerea Camerei Deputaţilor şi a Senatului. Monitorul Oficial al României. Partea I. Legi, decrete, hotărâri şi alte acte. Anul XVII, nr. 887, miercuri 29 septembrie 2004.).
26 A d'Hondt-rendszer bizonyos értelemben a legaránytalanabb arányos választási formula, továbbászisztematikusananagyobbpártoknakkedvez.Eznemjelentkülönösebbhátrányt a kis pártok számára a kétszintű körzetbeosztást és maradékátvitelt (remainder-transfer) alkalmazó román parlamenti választási rendszer esetében, ahol az osztórendszert csak az alacsonyabb szintű körzetekben végzett allokáció után fennmaradt mandátumoknak a töredékszavazatok függvényében történő kiosztására használják. Mert az ilyen rendszerekben kivételesen nem a magasabb szintű körzetek alkotják a meghatározó szintet (decisive tier), hanem éppenséggel az alacsonyabb szintű körzet formulája a meghatározó az arányosság szempontjából, ugyanis nem föltétlenül a nagy pártok fognak a legnagyobb maradékokkal rendelkezni. Viszont az Európai Parlament megválasztása esetében a mindössze 35 mandátumnak a d'Hondt-formula alapján történő szétosztása voltaképpen esélyt sem ad a kis pártoknak. (Vö. Bakk Miklós: Választási rendszerek. Egyetemi Könyvkiadó, Kolozsvár, 2007, 47., 69. és Arend Lijphart: Electoral Systems and Party Systems. A Study of Twenty-Seven Democracies. 1945-1990. Oxford University Press, Oxford, 1994. /Comparative European Politics./ 23., 32.) Creştin Democrat, a továbbiakban PNŢCD), a Szocialista Szövetség (Partidul Alianţa Socialistă, a továbbiakban PAS) és az Új Generáció Kereszténydemokrata Pártja (Partidul Noua Generaţie - Creştin Democrat, a továbbiakban PNG) szállt versenybe. Az eddig említetteken kívül még két új politikai erő, az egyik pártból a másikba vándorló Cosmin Guşă alapította Nemzeti Kezdeményezés Pártja (Partidul Iniţiativa Naţională, a továbbiakban PIN), a /Romániai/ Zöld Párt (Partidul Verde din România, a továbbiakban PV/R/) és egy független jelölt, az RMDSZ ellenzékének a támogatását élvező Tőkés László vállalta a megmérettetést.
27 A pártot a PNL-ből kizárt, illetve kivált politikusok csoportja alakította 2006. december 7-én, élén Theodor Stolojan volt miniszterelnökkel, a párt korábbi elnökével. Lásd [http://pld.info.ro/], letöltve 2007. december 7-én.
28 A Román Humanista Párt (Partidul Umanist Român, a továbbiakban PUR) 2005 májusában tartott kongresszusán változtatta meg a nevét. Lásd Partidul Conservator -o foarte sumară istorie a ideilor, [http://www.partidulconservator.ro/ro/ articole/ Istoric], letöltve 2007. november 6-án.
29 A szervezet azonos azzal a nemzeti kisebbségi szervezettel, amely 2004-ben /Romániai/ Szociáldemokrata Roma Párt (Partida Romilor Social Democrată /din România/) néven juttatott kedvezményesen képviselőt - név szerint Nicolae Păunt, az alakulat elnökét - az alsóházba. Lásd Voturile nominale ale deputaţilor pe proiecte de lege. Institutul pentru Politici Publice, Bucureşti [http://www.ipp.ro/cummuncescparlamentarii/] és A început campania electorală pentru 25 noiembrie. România liberă (vineri, 26 octombrie 2007) [http:// www.romanialibera.ro/a109696/a-inceput-campaniaelectorala-pentru-25-noiembrie.html], mindkettő letöltve 2008. január 7-én.
30 Vö. Arend Lijphart: Unequal Participation. Democracy's Unresolved Dilemma. Presidential Address, American Political Science Association, 1996. American Political Science Review, vol. 91, no. 1 (March 1997) 5-6.
31 A mutató értéke az alábbi képlet segítségével számítható ki:
1 e = ,N ?pi 2 i=1
32 A sikeresen szerepelt független jelöltet, értelemszerűen, a pártokkal egyenértékű szereplőként kell tekintetbe venni. (A független jelöltet kizáró ekvivalens pszeudopártrendszerrel akkor számolhatnánk, ha jóval népesebb lenne a megválasztott testület, s ezáltal lényegesen csökkenne az egyes képviselők számszerű súlya.)
33 A jelen alfejezetben számított mutatók korábbi értékeiért lásd Bakk Miklós - Szász Alpár Zoltán - Székely István Gergő: i. m. 28., 24. és 21.
34 Michael Gallagher: Proportionality, Disproportionality and Electoral Systems. Electoral Studies, vol. 10, no. 1 (March 1991) 38., 41-42., 49.
35 Az egyes pártok előnyhányadosát úgy kapjuk meg, hogy az általuk megszerzett mandátumok arányát elosztjuk az általuk gyűjtött szavazatok arányával, vagyis: s Ai = i , v i ahol Ai az i-edik párt előnyhányadosát, si az általa megszerzett mandátumok, vi pedig az általa kapott voksok részarányát jelöli. (Lásd Uo. 39., 42-43.; Rein Taagepera - Marku Laakso: Proportionality Profiles of West European Electoral Systems. European Journal of Political Research, vol. 11 (1980) no. 8, 423-446. Idézi Alina Drăguceanu: Sistemele electorale din România - 1990-2002. Caracteristici şi consecinţe politice. Lucrare de licenţă (UBB Facultatea de Ştiinţe Politice şi Administrative). Cluj, 2002. (Manuscris) 23. és Rein Taagepera - Matthew Soberg Shugart: Seats and Votes. The Effects and Determinants of Electoral Systems. Yale University Press, New Haven-CT, 1989. 67-69.)
36 Az index értékét a következő képlettel határozzuk meg:

(A jelölések azonosak a fenti képlet esetében használtakkal.) Vagyis előbb kiszámítjuk minden egyes párt esetében az általa megszerzett szavazatok és mandátumok arányai különbségének a négyzetét, amit elosztunk az illető párt szavazatarányával. Végül összegezzük a kapott hányadosokat, s így a Sainte-Lagüeindex értékét kapjuk. (Lásd Michael Gallagher: i. m. 35., 39., 41., 46., 49-50.)
37 Interpolációval megállapítható, hogy a szavazatarány és az előnyhányados összefüggését a legjobban talán az ábrán látható negyedfokú polinomiális függvénnyel lehet leírni. (Az 1,00 értéket jelentő rácsvonal a tökéletes arányosság egyenese.)
39 E megközelítéssel elkerüljük azt, hogy a számítások elvégzése során a pártrendszerek csupán látszólag módosuló, ám mélyebb értelemben folytonosságra utaló elemeinek kisebb, a ténylegesen változóaknak pedig nagyobb jelentőséget tulajdonítsunk. (Vö. [Michael Coppedge:] The Dynamic Diversity of Latin American Party Systems. Paper delivered at the 1997 meeting of the Latin American Studies Association. Guadalajara, April 17-19, 1997.
- [http://lasa.international.pitt.edu/LASA97/coppedge.pdf], letöltve 2008. február 18-án.)
40 A 2004. évi választások után azt állítottuk, hogy ezt a pártot akkor még nem lehetett "teljes mértékben leírni". Tekintettel arra, hogy akkori eredményét sem érte el most, s csak Temes megyében közelítette meg a bejutási küszöböt, ezúttal már jövőt nem merünk neki jósolni. (Vö. Bakk Miklós - Szász Alpár Zoltán - Székely István Gergő: i. m. 16.)
41 Az egyszerűség kedvéért a mostani eredményeket rendszerint a három, illetve a hét évvel korábban lezajlott parlamenti választások alsóházi eredményeivel vetjük össze. (Az ezektől igen kis mértékben eltérő szenátusi eredmények figyelembevétele sem eredményeinken, sem következtetéseinken nem változtatna.) Ha külön nem jelezzük, a 2000. évi választási eredmények forrása az Essexi Egyetem Political Transformation and the Electoral Process in Post-Communist Europe elnevezésű adatbázisában szereplő hivatalos választási statisztika [http://www2.essex.ac.uk/elect/database/indexElections. asp], letöltve 2004. január 18-án (az országos szintű adatok esetében), valamint [http:// www2.essex.ac.uk/elect/database/indexCountry.asp?country=ROMANIA& opt=con], letöltve 2008. január 11-én (a megyei szintű adatok esetében), továbbá a 2004. évi megyei szintű választási eredmények forrása: Voturi valabil exprimate pe circumscripţii electorale şi partide. Biroul Electoral Central, Bucureşti, 2004, [http://www.bec2004.ro/documente/ rezultate/REZULTATE%20CAMERA%20 DEPUTATILOR/cd_votve_ce_p.pdf] 16., letöltve 2004. december 31-én.
42 Lásd az 5. táblázat és az 1. ábra adatait.
43 EztazelőszörahatvanasévekbenNémetországbanmegfigyeltésleírtjelenségetnevezzük hallgatási spirálnak (spiral of silence effect). Vö. Elisabeth Noelle-Neumann: Political Opinion Polling in Germany. In Robert M. Worcester (ed.): Political Opinion Polling. An International Review. The Macmillan Press, London, 1983. 52-53. (A dolgozatunkban idézett intézetek felméréseiknek több mint a felében 30%-nál nagyobb arányban kaptak értékelhetetlen - "nem tudom"/"nem válaszol" - feleleteket a szóban forgó kérdésre. [Lásd a http://www.curs.ro, http://www.imas-inc.com, http://www.insomar.ro és a http://www.institutulpro.ro honlapok adatait.] Érvelésünkkel természetesen nem azt állítjuk, hogy az előrejelzési hibák egyetlen forrása az ismertetett jelenség volt, ám minden okunk megvan azt gondolni: a leginkább ez eredményezte azt, hogy e választás egyike azoknak, amelyekre érvényes a megállapítás: "Rossz előrejelzések csak néhány választás alkalmával születnek, ám ilyenkor a legtöbb közvélemény-kutatás egyazon irányban téved." /William Buchanan: Election Predictions. An Empirical Assessment. Public Opinion Quarterly, vol. 50 (1986) 222-223./)
44 Bakk Miklós - Szász Alpár Zoltán - Székely István Gergő: i. m. 16.
45 A párt megyékre bontott szavazatarányának és az egyes megyék városi lakossága részarányának a Pearson-féle korrelációs együtthatója r = 0,306 (p= 0,049).
46 A "demokraták" szavazatarányainak külön az erdélyi és külön az ókirálysági megyékre számított átlaga - rendre 28,07 és 28,57% - között igen csekély az eltérés (lásd még a 10. táblázatot).
47 A statisztikai mutatók ezt egyértelműen szemléltetik. A 2007., valamint a 2000. évi választásokra vonatkozó minimumok, maximumok meg átlagok tizedes törttel kifejezve rendre: 0,0316 és 0,0066; 0,4735 és 0,1691, illetve 0,2838 és 0,0676.
48 PD-L: egységben az erő. A demokraták és a liberális demokraták fúziója révén megszületett az új jobbközép alakulat. Krónika, IX. évf., 245. sz. (2007. december 17., hétfő) 3. (A PD 2000. évi országos szintű eredményeiért, valamint a D. A. Szövetség 2004. évi szereplésének részletes elemzéséért lásd Bakk Miklós - Szász Alpár Zoltán
- Székely István Gergő: i. m. 9., 15-16.)
49 Lásd Stan Stoica: Dicţionarul partidelor politice din România (1989-2001). Editura Meronia, Bucureşti, 2001. 21-22., 26.; Registrul partidelor politice - 1./18.03.2003. - Partidul Naţional Liberal - P.N.L. [http://www.tmb.ro/getmc.php?param=registrul_ partidelor_politice_12052005] (Románia 2003 óta vezetett pártjegyzékének internetes kivonata); Protocol de fuziune între Partidul Naţional Liberal şi Alianţa pentru România. 19.01.2002. [http://pnl.ro/?id=protocol&offset=0], valamint a [http://www. europe-politique.eu/ elections-roumanie.htm] oldal adatait (mindhárom letöltve 2008. január 11-én).
50 Az UFD 2000-ben a Román Demokrata Konvenció - 2000 (Convenţia Democrată Română 2000, a továbbiakban CDR 2000) tagjaként indult az országgyűlési választásokon, de a helyhatósági választások alkalmával a szavazatok 0,8%-át, s ennek eredményeképpen a megyei képviselői mandátumok 2,2%-át szerezte meg. Lásd Uniunea Forţelor de Dreapta és Alegeri locale 4 iunie 2000. Consilii judeţene. Mindkettő a [http://www.ufd.ro/] honlapon, letöltve 2008. január 11-én.
51 Ezekben a megyékben a szavazatveszteség rendre 2,74; 0,66 és 0,33%. százalékarányosan a legkevesebb voksot Hargita, Kovászna, Maros, valamint Erdély más magyarlakta megyéiben kapta (lásd a 3. sz. kartogramot).
52 Megyei bontásban a liberálisok 25 megyében teljesítettek a négy szervezet hipotetikus összesített eredményénél jobban. 53 Mivel a párt a jelen országgyűlési ciklus alatt jött létre a PNL egy szakadár szárnyaként, eredményeit értelemszerűen nincs mivel összehasonlítani.
54 Lásd Biroul de Presă PNL: Excludere Valeriu Stoica. (18 octombrie 2006) [http://www.pnl. ro/?id=dp3121& offset=0], letöltve 2008. február 15-án; Dana Carabelea: Tăriceanu nu crede înmega-partidulluiStoicaşiStolojan.Curentul,Serienouă,anulX,nr.239(vineri,13octombrie 2006) [http://arhiva.curentul.ro:81/2006/ curentul.php?numar=20061013&art=43962], letöltve 2008. február 17-én; Cristian David: Lansarea platformei Stoica. (15 octombrie 2006) [http://www.pnl.ro/?id=dp3101&offset=0], letöltve 2008. február 13-án, valamint a [http:// pld.info.ro/] honlap adatait, letöltve 2007. december 7-én
55 A "demokrata liberálisok" szavazatarányainak külön az erdélyi és külön az ókirálysági megyékre számított átlaga rendre 5,52 és 8,46% (lásd még a 10. táblázatot). (Továbbá a párt nagyjából azonos mértékben rendelkezik szavazóbázissal az urbanizáltabb és az elmaradottabb megyékben, hiszen megyékre bontott szavazatarányának és a területi egységek városi lakossága részarányának a Pearson-féle korrelációs együtthatója r = 0,020 /p= 0,901/.)
56 Az érvényes válaszokat tekintetbe véve ez az arány megegyezik azzal, amit egy évvégi közvélemény-kutatás mért. (Lásd Nationwide Opinion Poll. December, 2007. Center for Urban and Regional Sociology, Bucharest, 2007. 7. [http://www.curs.ro/images/pdf/january%20poll%202008.pdf], letöltve 2008. február 10-én.)
57 Az, hogy mind a PD-L, mind a három jobboldali párt alkotta pólus az Ókirályságban bír nagyobb támogatottsággal, részben annak tulajdonítható, hogy a számottevő magyar lakosságnak otthont adó megyékben mind az RMDSZ, mind Tőkés László jól szerepelt, részben pedig annak, hogy mind a PNL, mind a PLD népszerűbb a Regátban, mint Erdélyben.
58 A Regátban megyénként átlagban 27,64%-ot ért el, de Erdélyben csak 15,77%-ot (lásd még a 7. és a 10. táblázatot).
59 Az állítás akkor is igaz, ha a PSD mostani százalékarányát mintegy 3%-kal (a Konzervatív Párt eredménye) magasabbnak tekintjük.
60 Tekintettel arra, hogy ezekben a közigazgatási egységekben a lakosság túlnyomó többsége falusi lakos, a látszólagos ellentmondás valószínűleg Bukarest közelségével, az ottani gazdasági fellendülés áttételes hatásaival magyarázható.
61 A 2007., valamint a 2004. évi választásokra vonatkozó minimumok, maximumok, átlagok meg szórások tizedes törttel kifejezve rendre: 0,0335 és 0,0867; 0,3829 és 0,5317; 0,2311 és 0,3705, illetve 0,0815 és 0,1065.
62 A párt megyékre bontott szavazatarányának és az egyes megyék városi lakossága részarányának a Pearson-féle korrelációs együtthatója r = -0,339 (p = 0,028).
63 A párt támogatottságának az ókirálysági megyékre számított átlaga 5,59%, míg az erdélyiekre vonatkozó 3,62% (lásd még a 9. és a 10. táblázatot). (Vö. Bakk Miklós - Szász Alpár Zoltán - Székely István Gergő: i. m. 20.)
64 A pártok választói kötődés lehetséges motivációja alapján a pártok három ideáltípusa határozható meg: a karizmatikus, a klienteláris, valamint a programmatikus. Lásd Herbert Kitschelt: Formation of Party Cleavages in Post-Communist Democracies. Theoretical Propositions. Party Politics, vol. 1 (1995) no. 4, 449.
65 A legfrappánsabb pozitív példa ebben a tekintetben a Nemzeti Liberális Párt EU promovez România (Én Romániát támogatom) szójátékon alapuló jelmondata.
66 Vö. Bakk Miklós - Szász Alpár Zoltán - Székely István Gergő: i. m. 17.
67 Az Európai Néppárt (European People's Party, a továbbiakban EPP) 2004-ben kategórikusan elutasította a PRM felvételi kérelmét, közvetlenül az európai parlamenti választások előtt pedig a "nagy-romániások" önként távoztak az Identitás, Hagyomány, Szuverenitás elnevezésű szélsőjobboldali pártokat tömörítő csoportból. (Lásd Partidul România Mare. [http://ro.wikipedia.org/wiki/Partidul_Rom%C3%A2nia_Mare] és Identity, Tradition, Sovereignty. [http://en.wikipedia.org/wiki/Identity,_Tradition,_ Sovereignty], mindkettő letöltve 2008. január 8-án )
68 A PRM a regáti megyékben átlagban a szavazatok 4,36%-át, az erdélyiekben pedig 3,79%-át szerezte meg (lásd még a 9. és a 10. táblázatot). 69 A párt támogatottságának az ókirálysági megyékre számított átlaga 3,22%, míg az erdélyiekre vonatkozó 2,28% (lásd még a 9. és a 10. táblázatot).
70 Lásd Registrul partidelor politice - 37./23.06.2005. - Partidul Iniţiativa Naţională [http://www.tmb.ro/getmc.php?param=registrul_partidelor_politice_12052005] (Románia 2003 óta vezetett pártjegyzékének internetes kivonata), letöltve 2008. január 11-én.
71 A párt a regáti megyékben átlagban a szavazatok 2,43%-át, az erdélyiekben pedig 2,14%-át szerezte meg (lásd még a 9. és a 10. táblázatot).
72 Véleményünk szerint Romániára jellemző az etnikai szavazás, vagyis "az etnikai választóvonalat áthidaló szavazatcsere hiánya". (Donald L. Horowitz: Ethnic Groups in Conflict. 2nd. ed. Berkeley-Los Angeles, 2000, University of California Press. 291-292., 346., 326.)
75 Erdélyi 14,95%-os megyei átlagához képest a Szövetségnek érthetően igen csekély a regáti szavazói támogatottsága (0,28%) (Lásd a 10. táblázatot.)
76 A Szövetség Bukarestben összesen 2359 szavazatot gyűjtött, amiből csupán 616-ot a külképviseleteken és 1743-at a főváros kerületeiben. (Lásd Proces-verbal privind centralizarea voturilor la alegerile pentru Parlamentul European, 25 noiembrie 2007. Biroul Electoral Central, Bucureşti, 2007. [http://www.bec2007pe.ro/documente/REZULTATE FINALE JUDETE SI BUCURESTI.pdf (sic!)], letöltve 2007. november 30-án.)
77 A független jelölt erdélyi és ókirálysági eredménye között nincs akkora különbség, mint az RMDSZ esetében. Az átlagok rendre: 9,44 és 0,51% (lásd a 10. táblázatot).
78 Viszketett a tenyerük. EP-választások: mi rejlik a számok mögött? [http://politika.transindex.ro/?cikk=6442], letöltve 2008. január 23-án. (Lásd Székely István negyedik hozzászólását.) több személytől kapott szavazatot, mint ahány magyart a népszámlálási biztosok összeírtak. Ez azt sugallja, hogy a valóság a hipotézisben leírtnál bizonyára árnyaltabb.
79 Vö. Bakk Miklós - Szász Alpár Zoltán - Székely István Gergő: i. m. 30.
80 Az előjelek azonban - legalábbis a közvélemény-kutatások tükrében - nem voltak ennyire biztatóak. Az RMDSZ a választások közeledtével a bejutás szempontjából a határon volt, Tőkés László esetében pedig talán még egy kicsit rosszabb is volt a helyzet. (Lásd Felmérések harca: bizakodó az RMDSZ. Új Magyar Szó, III. évf., 227. sz. (2007. november 21, szerda) 4. és az 5. táblázat adatait.) Véleményünk szerint azonban sem a néhány tíz magyart magukban foglaló országos reprezentatív minták alapján, sem egy telefonos közvélemény-kutatás alapján nem lehet a magyarságot képviselni szándékozó erők választási szereplését előre jelezni. Az első esetben a túlontúl kisméretű magyar alminta okoz önmagában gondot, a második esetben pedig az, hogy országunk háztartásainak telefonos felszereltsége még mindig nincs azon államok színvonalán, amelyekben a telefonos felmérések immár szokványosak, arról nem is beszélve, hogy a jelenlegi piaci körülmények között elégtelen egyetlen szolgáltató telefonkönyvére hagyatkozni.
81 Külföldön a két versenytárs összesen 2532 voksott kapott, ami a fővárosban összesített szavazataik 44,34%-a. A három évvel korábbihoz képest a bukaresti szavazatveszteség noha százalékarányosan csekély 0,11, abszolút számokban 10 846. (Ezt a furcsa eredményt természetesen az magyarázza, hogy 2004-ben a fővárosban több mint két és félszer több voksot számoltak össze a mostaninál: 1 048 747-et a 388 999-hez képest.) (Vö. Proces-verbal privind centralizarea voturilor la alegerile pentru Parlamentul European, 25 noiembrie 2007. Biroul Electoral Central, Bucureşti, 2007. [http://www. bec2007pe.ro/documente/ REZULTATE FINALE JUDETE SI BUCURESTI. pdf (sic!)], letöltve 2007. november 30-án; Voturi valabil exprimate pe circumscripţii electorale şi partide. Biroul Electoral Central, Bucureşti[, 2004]. [http://www.bec2004. ro/documente/rezultate/ REZULTATE%20CAMERA%20DEPUTATILOR/cd_ votve_ce_p.pdf] 1., 16., letöltve 2004. december 31-én. és Bakk Miklós - Szász Alpár Zoltán - Székely István Gergő: i. m. 31-32.)
82 Természetesen nem állítjuk, hogy országunkban a szavazásra jogosultak száma állandó. Ellenkezőleg, a teljes választói névjegyzékben szereplők száma éppenséggel növekvő tendenciát mutat. Ezzel szemben - demográfiai becslések szerint - a magyar választópolgároké enyhén csökken, de ezek a változások nem olyan mértékűek, hogy adataink pontos súlyozását indokolttá tennék, jóllehet a súlyozás nemhogy gyengítené, hanem éppenséggel erősítené következtetésünket. (Vö. [http://www2.essex.ac.uk/ elect/database/indexElections.asp], letöltve 2004. január 18-án; Proces verbal privind centralizarea voturilor şi atribuirea mandatelor la alegerile pentru Parlamentul European, 25 noiembrie 2007. Biroul Electoral Central, Bucureşti, 2007. 1. [http:// www.bec2007pe.ro/documente/REZULTATE FINALE.pdf]; Proces-verbal privind centralizarea voturilor la alegerile pentru Parlamentul European, 25 noiembrie 2007. Biroul Electoral Central, Bucureşti, 2007. [http://www.bec2007pe.ro/documente/ REZULTATE FINALE JUDETE SI BUCURESTI.pdf (sic!)], mindkettő letöltve 2007. november 30-án; Proces-verbal privind rezultatul alegerilor pentru Camera Deputaţilor - 28 noiembrie 2004. Biroul Electoral Central, Bucureşti[, 2004]. [http://www.bec2004.ro/documente/rezultate/ REZULTATE%20CAMERA%20 DEPUTATILOR/CD_BEC.pdf] 1., letöltve 2004. december 31-én.; Bakk Miklós - Szász Alpár Zoltán - Székely István Gergő: i. m. 31-32. és Csata István - Kiss Tamás: Népesedési perspektívák. Az erdélyi magyar népesség regionálisan tagolt előreszámítása húsz és harminc éves időtávra. RMDSZ Ügyvezető Elnökség - Kriterion Könyvkiadó, Kolozsvár, 2007. /Erdélyi Társadalom Könyvek 2./ 53-54.)
83 Ezek a határértékek végső soron önkényesen választottak. Ám eljárásmódunk nem idegen a politikatudományi elemzés módszertanától: ilyenkor csupán az a lényeges, hogy a választott "küszöbök" ésszerűek legyenek, és a következtetések érvényességének a szempontjából lehetőleg biztonságosan diszkrimináljanak, azaz válasszák szét, sorolják külön csoportokba az egymástól eltérő eseteket.
84 Természetesen csak az erdélyi megyékkel dolgozunk, mert csak esetükben lehet szó jelentősebb mobilizációs tartalékról, s tulajdonképpen csak ezekben haladja meg a szavazatcsökkenés a több százas nagyságrendet.
85 Viszketett a tenyerük. EP-választások: mi rejlik a számok mögött? [http://politika.transindex.ro/?cikk=6442], letöltve 2008. január 23-án. (Lásd Székely István első, illetve Kiss Tamás második hozzászólását.)
86 A Bukaresti Törvényszék a párt bejegyzését ez év január 29-én hagyta jóvá, s bár még néhány napig meg lehet óvni az ítéletet, kifogást már csak szervezet hivatalos megnevezésének kétnyelvűsége ellen lehet emelni. Lásd: Megnyíló magyar vokspiac. Krónika, X. évf., 20. sz. (2008. január 30.) 1. Hogyan értelmezhető az egységparadigma bukása?
87 Kántor Zoltán: Kisebbségi nemzetépítés. Regio, XI. évf. (2000) 3. sz., 236. és uő: Az RMDSZ és a romániai magyar társadalom: alternatívák vagy kényszerpályák? Magyar Kisebbség, Új sorozat, VII. évf. (2002), 1. sz. 211-212.
88 Szász Alpár Zoltán: Az RMDSZ szervezeti identitása (1989-2005) - alakváltozások és párhuzamok. In Bodó Barna (szerk.): Romániai Magyar Évkönyv 2006. Szórvány Alapítvány - Marineasa Kiadó, Temesvár, 2007. 25-26.
89 Bakk Miklós: Modellviták - rejtett stratégiák. Magyar Kisebbség, Új sorozat, VI. évf. (2001), 1. sz. 12-13., uő: Az eredettől a kezdetig. Provincia, I. évf., 7. sz. (2000. november) 4.; Borbély Zsolt Attila: Összmagyarság és erdélyiség. Provincia, I. évf., 8. sz. (2000. december) 8.; Kántor Zoltán: A konszociáció Erdélyben. Folyamatok és modellek. Provincia, II. évf., 4. sz. (2001. április) 7.; Molnár Gusztáv: A konszociációs demokrácia esélyei Erdélyben. Provincia, I. évf., 6. sz. (2000. október) 1-2. és Szász Alpár Zoltán: A demokrácia modelljei Romániában: a valóság számokban kifejezve. Magyar Kisebbség, Új sorozat, VII. évf. (2002), 3. sz. 242-245., 247.
90 Az angol nyelvű nemzetközi szakirodalomból pillarisationként (vagy sok esetben az eredeti holland nyelvű szóval verzuilingként) ismert fogalmat magyarra a cölöpösödés, oszloposodás vagy pilléresedés szakkifejezésekkel szokás fordítani. (Lásd Enyedi Zsolt: Pillér és szubkultúra. A politikai-kulturális tagolódás egy lehetséges fogalmi kerete. Politikatudományi Szemle, II. évf. (1993) 4. sz., 25.) Ezekre az oszlopokra, pillérekre épülnek a társulásos vagy konszociációs demokráciák, de értelemszerűen nem minden demokrácia társulásos. Az viszont korántsem nyilvánvaló, hogy léteznek nem demokratikus konszociációs rendszerek, hiszen a demokráciának csak szükséges, de nem elégséges feltétele az aritmetikai értelemben vett többpártrendszer léte, amint a konszociációs demokráciának is - a pártok képviselte - pillérek közötti hatalommegosztás. Konszociációs, de nem demokratikus rendszernek tekinthető Libanon 1989 óta s kis jóindulattal a Csehszlovák Szocialista Szövetségi Köztársaság is az 1968. évi prágai tavaszt követően, egészen az akkor életbe léptetett alkotmányos reformoknak a három évvel később bekövetkezett eltörléséig. (Lásd Arend Lijphart: The Puzzle of Indian Democracy. A Consociational Interpretation. American Political Science Review, vol. 90. (1996) 259. és Taif Agreement [http://en.wikipedia.org/wiki/Taif_Agreement], letöltve 2008. február 3-án, illetve Communist Party of Czechoslovakia [http://en.wikipedia.org/wiki/Communist_Party_ of_ Czechoslovakia], Constitutional Law of Federation [http://en.wikipedia.org/wiki/Constitutional_ Law_of_ Federation], Czechoslovakia [http://en.wikipedia.org/wiki/Czechoslovakia#Communist_ Czechoslovakia] és Government structure of Communist Czechoslovakia [http://en.wikipedia.org/ wiki/Government_structure_of_ Communist_Czechoslovakia], mind letöltve 2008. február 2-án.)
91 Lásd Enyedi Zsolt: Politika a kereszt jegyében. Osiris Kiadó, Budapest, 1998, 40-41.
92 Uo. 41. 93 Val Lorwin: Segmented Pluralism. Ideological Cleavages and Political Cohesion in the Smaller European Democracies. Comparative Politics, vol. 3 (1971) no. 2, 141-142. Idézik Enyedi Zsolt - Körösényi András: Pártok és pártrendszerek. Osiris Kiadó, Budapest, 2004. 37-38.
94 A szakkifejezés forrása Maureen Cowell: Stabilization and Change in Belgian Party System. In Steven B. Wolinetz (ed.): Parties and Party Systems in Liberal Democracies. Routledge, London - New York, 1988. 114. Idézi Enyedi Zsolt: i. m. 129.
95 E törekvése több szervezeti-intézményi minta kipróbálását, kiépítését feltételezte. Kezdetben a romániai magyar kisebbség összes politikai, gazdasági, társadalmi és kulturális szervezetét integrálni törekvő politikai arcélű ernyőszervezetként működött, s olykor a részben független szatellitpártok (a Romániai Magyar Kereszténydemokrata Párt és a Romániai Magyar Kisgazda Párt) működését is üdvösnek tekintette, majd a brassói kongresszus alkalmával az oszloposodási projektet a legteljesebb mértékben megjelenítő önkormányzati modellt hirdette meg. (Szász Alpár Zoltán: Az RMDSZ szervezeti identitása (1989-2005) - alakváltozások és párhuzamok. In Bodó Barna (szerk.): Romániai Magyar Évkönyv 2006. Szórvány Alapítvány - Marineasa Kiadó, Temesvár, 2007. 25-26.)
96 Uo. 32.
97 Arend Lijphart: Democraţia în societăţile plurale. Polirom, Iaşi, 2002. 72-74.
98 Ennek részletes, a társulásos demokráciák Lijphart által azonosított keretfeltételeihez igazodó elemzését lásd: Szász Alpár Zoltán: A demokrácia modelljei Romániában: a valóság számokban kifejezve. Magyar Kisebbség, Új sorozat, VII. évf. (2002), 3. sz. 242-245.
99 A pillérek meggyengüléséről vagy az oszlopok összeomlásáról (depillarization vagy ontzuiling) lásd Enyedi Zsolt: i.m. 49-59. 100 Ez a jelleg a magyarországi politikát vélhetően a reformkor óta jellemzi, de minden képpen sajátja a két világháború közötti magyar politikának, lásd például a közéletbe is begyűrűzött urbánus-népies vitát. (Vö. Bozóki András: An Outline of Three Populisms. The United States, Argentina and Hungary. Working Paper #5. Central European University, Political Science Department, June 1994. 22-27.) 101 Viszketett a tenyerük. EP-választások: mi rejlik a számok mögött? [http://politika.transindex.ro/?cikk=6442], letöltve 2008. január 23-án. (Lásd Székely István első hozzászólását.)
102 Enyedi Zsolt - Körösényi András: i.m. 226-229.
103 Gondolunk itt elsősorban arra, hogy Traian Băsescu elnök egy idő után az általa tető alá hozott kormánykoalíció szétverésén munkálkodott, majd az általa megálmodott, széles körű kompetenciákkal felruházott elnöki hivatal létrehozása érdekében erős elnöki pártot szeretett volna létrehozni. Az sem mellékes persze, hogy a PC folyamatosan támadta az RMDSZ-t. 104 A populista és egyben népszerű államelnök egyetlen számottevő sikere tulajdonképpen a hivatalából való felmentését célzó népszavazáson aratott elsöprő, de ugyanakkor talán arányaiban is várható győzelme volt.
|